Hỗ trợ tư vấn
Tư vấn - Giải đáp - Hỗ trợ đặt tài liệu
Mua gói Pro để tải file trên Download.vn (không bao gồm tài liệu cao cấp) và trải nghiệm website không quảng cáo
Tìm hiểu thêm »
SỞ GIÁO DỤC VÀ ĐÀO TẠO
|
KỲ THI CHỌN HỌC SINH GIỎI CẤP TỈNH LỚP 12
|
Câu 1 (5,0 điểm).
Tại hai điểm A, B trên mặt chất lỏng cách nhau 12cm có hai nguồn kết hợp dao động theo phương trình: uA = uB = acos40 πt(cm). Tốc độ truyền sóng trên mặt chất lỏng là 1m/s. Coi biên độ sóng không đổi. Hãy xác định:
1. Bước sóng?
2. Số điểm dao động với biên độ cực đại và không dao động trên đoạn AB?
Câu 2 (5,0 điểm).
Cho mạch điện xoay chiều như hình 1.

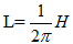
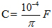
Biết điện trở
, cuộn dây thuần cảm có
; tụ điện có
. Điện áp ở hai đầu đoạn mạch: ![]()
1. Viết biểu thức cường độ dòng điện trong mạch.
2. Xác định điện áp hiệu dụng ở hai đầu cuộn dây?
3. Thay R bằng R1 để công suất tiêu thụ trên đoạn mạch đạt giá trị lớn nhất. Tìm R1 và giá trị lớn nhất đó?
Câu 3 (5,0 điểm).
Một con lắc lò xo nằm ngang như hình 2. Vật nhỏ có khối lượng m=100g, lò xo nhẹ có độ cứng k dao động điều hòa trên quỹ đạo dài 10cm và tần số dao động là 0,5Hz. Bỏ qua mọi ma sát. Cho π2 = 10.

1. Tính k và cơ năng của con lắc?
2. Viết phương trình dao động của vật. Chọn gốc thời gian (t = 0) lúc vật ở vị trí biên dương (x= +A), gốc tọa độ O tại vị trí cân bằng.
3. Xác định vận tốc, gia tốc của vật tại vị trí động năng gấp ba lần thế năng?
4. Xác định thời điểm lực kéo về đổi chiều lần thứ 2012?
Câu 4 (3,0 điểm).
Vật sáng nhỏ AB đặt trên trục chính, vuông góc với trục chính trước một thấu kính hội tụ có tiêu cự 20(cm) và cách thấu kính 30(cm).
1. Xác định vị trí, tính chất và số phóng đại của ảnh?
2. Giữ cố định thấu kính và dịch chuyển vật trước thấu kính dọc theo trục chính để ảnh có độ lớn cao gấp ba lần vật. Hỏi phải dịch chuyển vật một đoạn bao nhiêu và theo chiều nào?
Câu 5 (2,0 điểm).
Sóng dừng trên một sợi dây được mô tả bởi phương trình
, trong đó u là li độ tại thời điểm t của một phần tử M trên dây mà vị trí cân bằng của nó có tọa độ x (x đo bằng cm, t đo bằng s). Tính bước sóng và tốc độ truyền sóng trên dây?
Download tài liệu để xem thêm chi tiết
Theo Nghị định 147/2024/ND-CP, bạn cần xác thực tài khoản trước khi sử dụng tính năng này. Chúng tôi sẽ gửi mã xác thực qua SMS hoặc Zalo tới số điện thoại mà bạn nhập dưới đây: