Hỗ trợ tư vấn
Tư vấn - Giải đáp - Hỗ trợ đặt tài liệu
Mua gói Pro để tải file trên Download.vn (không bao gồm tài liệu cao cấp) và trải nghiệm website không quảng cáo
Tìm hiểu thêm »
SỞ GIÁO DỤC VÀ ĐÀO TẠO
|
KỲ THI CHỌN HỌC SINH GIỎI CẤP TỈNH LỚP 12
|
Câu 1 (5,0 điểm).
Trong thí nghiệm giao thoa sóng mặt nước, có hai nguồn kết hợp tại hai điểm A, B (AB = 18cm) dao động theo phương trình u1 = u2 = 2cos50πt (cm). Coi biên độ sóng không đổi. Tốc độ truyền sóng là 50cm/s.
a) Viết phương trình sóng tổng hợp tại điểm M trên mặt nước cách các nguồn lần lượt d1, d2.
b) Xác định số điểm đứng yên trên đoạn AB.
c) Trên đoạn AB có mấy điểm cực đại có dao động cùng pha với nguồn.
d) Gọi O là trung điểm AB, điểm M ở mặt chất lỏng nằm trên đường trung trực của AB và gần O nhất sao cho phần tử chất lỏng tại M dao động cùng pha với phần tử chất lỏng tại O. Tính MO.
Câu 2 (6,0 điểm).
Cho đoạn mạch AB gồm R, L, C mắc nối tiếp như hình vẽ 1. Đặt vào hai đầu đoạn mạch một điện áp xoay chiều![]()

a) Viết biểu thức cường độ dòng điện, biểu thức của các điện áp uAN và uMB.
b) Điều chỉnh C để công suất trên cả đoạn mạch đạt cực đại. Tìm C và giá trị cực đại của công suất.
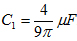
c) Giữ nguyên
thay điện trở R bằng R1 = 1000Ω, điều chỉnh tụ điện C bằng
. Giữ nguyên điện áp hiệu dụng của nguồn, thay đổi tần số f đến giá trị f0 sao cho điện áp hiệu dụng UC1 giữa hai bản cực của tụ điện đạt cực đại. Tìm f0 và giá trị cực đại của UC1.
Câu 3 (5,0 điểm):
Một sợi dây cao su nhẹ đàn hồi có độ cứng k = 25N/m đầu trên được giữ cố định, đầu dưới treo vật m = 625g. Cho g = 10m/s2, π2 = 10.
1) Kéo vật rời khỏi vị trí cân bằng theo phương thẳng đứng hướng xuống dưới một đoạn bằng 5cm rồi thả nhẹ cho vật dao động điều hòa. Chọn gốc thời gian là lúc thả vật, gốc tọa độ tại vị trí cân bằng, chiều dương hướng xuống.
a) Viết phương trình dao động của vật.
b) Tính tốc độ trung bình của vật kể từ lúc bắt đầu chuyển động đến lúc vật qua vị trí có x = -2,5cm lần thứ 2.
2) Vật đang ở vị trí cân bằng, truyền cho vật vận tốc 2m/s hướng thẳng đứng xuống dưới. Xác định độ cao cực đại của vật so với vị trí cân bằng.
Câu 4 (3,0 điểm).
Cho quang hệ gồm hai thấu kính hội tụ, đồng trục f1 = 10cm; f3 = 25cm; khoảng cách giữa hai thấu kính là O1O3 = 40cm.
a) Đặt một vật sáng AB = 2cm vuông góc với trục chính trước thấu kính O1 một đoạn d1 = 15cm. Xác định vị trí và tính chất của ảnh qua quang hệ.
b) Đặt thêm thấu kính O2 đồng trục với hai thấu kính trên và tại trung điểm của O1O3, khi đó độ phóng đại ảnh qua hệ 3 thấu kính không phụ thuộc vị trí đặt vật. Xác định f2 và vẽ đường đi của tia sáng.
Câu 5 (1,0 điểm).
Cho mạch điện như hình 2. Với E = 1,5V; r = 0; R = 50Ω. Biết rằng đường đặc trưng vôn-ampe của điôt D (tức là sự phụ thuộc của dòng điện đi qua điôt vào hiệu điện thế hai đầu của nó) được mô tả bởi công thức I = 10-2U2, trong đó I được tính bằng ampe còn U được tính bằng vôn. Xác định cường độ dòng điện trong mạch.

Download tài liệu để xem thêm chi tiết
Theo Nghị định 147/2024/ND-CP, bạn cần xác thực tài khoản trước khi sử dụng tính năng này. Chúng tôi sẽ gửi mã xác thực qua SMS hoặc Zalo tới số điện thoại mà bạn nhập dưới đây: