Hỗ trợ tư vấn
Tư vấn - Giải đáp - Hỗ trợ đặt tài liệu
Mua gói Pro để tải file trên Download.vn (không bao gồm tài liệu cao cấp) và trải nghiệm website không quảng cáo
Tìm hiểu thêm »
SỞ GIÁO DỤC VÀ ĐÀO TẠO
|
KỲ THI CHỌN HỌC SINH GIỎI VÒNG TỈNH LỚP 10, 11
|
MÔN THI: TOÁN - LỚP 11
(Thời gian làm bài 180 phút không kể thời gian giao đề)
--------------------------------------------------------------------------------
Câu 1: (4 điểm)
Cho dãy số (un) có u1 = 2039; un+1 = un + 2n + 2011 (n ≥ 1).
Hãy tính tổng: Sn = u1 + u2 + u3 + ... + un
Câu 2: (4 điểm)
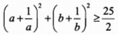
Cho hai số thực dương a, b thỏa mãn a + b = 1. Chứng minh:
Câu 3: (4 điểm)
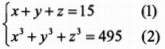
Tìm nghiệm nguyên dương của hệ phương trình:![]()
Câu 4: (4 điểm)
Giải phương trình: ![]()
Câu 5: (4 điểm)
Cho tứ diện ABCD, G là trọng tâm tam giác BCD. Một mặt phẳng (α) cắt các cạnh AB, AC, AD và AG lần lượt tại B', C', D', G'. Chứng minh rằng: ![]()
Download tài liệu để xem thêm chi tiết
Theo Nghị định 147/2024/ND-CP, bạn cần xác thực tài khoản trước khi sử dụng tính năng này. Chúng tôi sẽ gửi mã xác thực qua SMS hoặc Zalo tới số điện thoại mà bạn nhập dưới đây: