Hỗ trợ tư vấn
Tư vấn - Giải đáp - Hỗ trợ đặt tài liệu
Mua gói Pro để tải file trên Download.vn (không bao gồm tài liệu cao cấp) và trải nghiệm website không quảng cáo
Tìm hiểu thêm »| SỞ GIÁO DỤC VÀ ĐÀO TẠO THÀNH PHỐ ĐÀ NẴNG (Đề thi chính thức) |
KỲ THI CHỌN HỌC SINH GIỎI LỚP 11 NĂM HỌC: 2010 - 2011 Môn: TOÁN Thời gian: 150 phút (không kể thời gian giao đề) |
Câu I (2,0 điểm)
1) Giải phương trình lượng giác: 
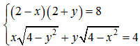
2) Giải hệ phương trình: 
Câu II (2,0 điểm)
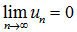
1) Cho a, b, c là ba hằng số và (un) là dãy số được xác định bởi công thức:

Chứng minh rằng
khi và chỉ khi a + b + c = 0
2) Các số a, b, c (theo thứ tự đó) lập thành một cấp số nhân có tổng bằng 26. Tìm các số đó, biết rằng: nếu một cấp số cộng có a là số hạng thứ nhất, b là số hạng thứ ba thì c là số hạng thứ chín.
Câu III (2,0 điểm)
1) Chứng minh rằng: với mọi số tự nhiên n, số
chia hết cho 3n + 1 nhưng không chia hết cho 3n + 2
2) Từ tập hợp tất cả các số tự nhiên có năm chữ số mà các chữ số đều khác 0, lấy ngẫu nhiên một số. Tính xác suất để trong số tự nhiên được lấy ra chỉ có mặt ba chữ số khác nhau.
Câu IV (3,0 điểm)
1) Cho hình hộp ABCD.A'B'C'D'. Trên cạnh AB lấy điểm M khác A và B. Gọi (P) là mặt phẳng đi qua M và song song với mặt phẳng (ACD')
a) Trình bày cách dựng thiết diện của hình hộp và mặt phẳng (P).
b) Xác định vị trí của M để thiết diện nói trên có diện tích lớn nhất.
2) Cho hình chóp S.ABCD có đáy ABCD là hình bình hành và M là trung điểm của SC. Một mặt phẳng (P) chứa AM và lần lượt cắt các cạnh SB, SD tại các điểm B', D' khác S. Chứng minh rằng: 
Câu V (1,0 điểm)
Khảo sát tính chẵn - lẻ, tính tuần hoàn và tìm giá trị lớn nhất, giá trị nhỏ nhất của hàm số 
Download tài liệu để xem thêm chi tiết
Theo Nghị định 147/2024/ND-CP, bạn cần xác thực tài khoản trước khi sử dụng tính năng này. Chúng tôi sẽ gửi mã xác thực qua SMS hoặc Zalo tới số điện thoại mà bạn nhập dưới đây: