Hỗ trợ tư vấn
Tư vấn - Giải đáp - Hỗ trợ đặt tài liệu
Mua gói Pro để tải file trên Download.vn (không bao gồm tài liệu cao cấp) và trải nghiệm website không quảng cáo
Tìm hiểu thêm »| BỘ GIÁO DỤC VÀ ĐÀO TẠO (Đề thi chính thức) |
KỲ THI CHỌN HỌC SINH GIỎI QUỐC GIA LỚP 12 THPT NĂM 2011 Môn: TOÁN Thời gian: 180 phút (không kể thời gian giao đề) |
Bài 1 (5,0 điểm). Cho số nguyên dương n. Chứng minh rằng với mọi số thực dương x, ta có bất đẳng thức:

Hỏi đẳng thức xảy ra khi nào?
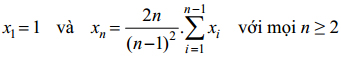
Bài 2 (5,0 điểm). Cho dãy số thực (xn) xác định bởi

Với mỗi số nguyên dương n, đặt yn = xn + 1 – xn.
Chứng minh rằng dãy số (yn) có giới hạn hữu hạn khi 
Bài 3 (5,0 điểm).
Trong mặt phẳng, cho đường tròn (O) đường kính AB. Xét một điểm P di động trên tiếp tuyến tại B của (O) sao cho P không trùng với B. Đường thẳng PA cắt (O) tại điểm thứ hai C. Gọi D là điểm đối xứng với C qua O. Đường thẳng PD cắt (O) tại điểm thứ hai E.
1/ Chứng minh rằng các đường thẳng AE, BC và PO cùng đi qua một điểm. Gọi điểm đó là M.
2/ Hãy xác định vị trí của điểm P sao cho tam giác AMB có diện tích lớn nhất. Tính giá trị lớn nhất đó theo bán kính của đường tròn (O). ((O) kí hiệu đường tròn tâm O ).
Bài 4 (5,0 điểm).
Cho ngũ giác lồi ABCDE có độ dài mỗi cạnh và độ dài các đường chéo AC, AD không vượt quá 3 . Lấy 2011 điểm phân biệt tùy ý nằm trong ngũ giác đó. Chứng minh rằng tồn tại một hình tròn đơn vị có tâm nằm trên cạnh của ngũ giác đã cho chứa ít nhất 403 điểm trong số các điểm đã lấy.
Bài 5 (7,0 điểm).
Cho dãy số nguyên (an) xác định bởi

Chứng minh rằng a2012 − 2010 chia hết cho 2011.
Bài 6 (7,0 điểm).
Cho tam giác ABC không cân tại A và có các góc ABC , ACB là các góc nhọn. Xét một điểm D di động trên cạnh BC sao cho D không trùng với B, C và hình chiếu vuông góc của A trên BC. Đường thẳng d vuông góc với BC tại D cắt các đường thẳng AB và AC tương ứng tại E và F. Gọi M, N và P lần lượt là tâm đường tròn nội tiếp các tam giác AEF, BDE và CDF. Chứng minh rằng bốn điểm A, M, N, P cùng nằm trên một đường tròn khi và chỉ khi đường thẳng d đi qua tâm đường tròn nội tiếp tam giác ABC.
Bài 7 (6,0 điểm). Cho n là số nguyên dương. Chứng minh rằng đa thức P(x, y) = xn + xy + yn không thể viết được dưới dạng P(x, y) = G(x, y).H(x, y), trong đó G(x, y) và H(x, y) là các đa thức với hệ số thực, khác đa thức hằng.
Download tài liệu để xem thêm chi tiết
Theo Nghị định 147/2024/ND-CP, bạn cần xác thực tài khoản trước khi sử dụng tính năng này. Chúng tôi sẽ gửi mã xác thực qua SMS hoặc Zalo tới số điện thoại mà bạn nhập dưới đây: