Hỗ trợ tư vấn
Tư vấn - Giải đáp - Hỗ trợ đặt tài liệu
Mua gói Pro để tải file trên Download.vn (không bao gồm tài liệu cao cấp) và trải nghiệm website không quảng cáo
Tìm hiểu thêm »| BỘ GIÁO DỤC VÀ ĐÀO TẠO (Đề thi chính thức) |
KỲ THI CHỌN HỌC SINH GIỎI QUỐC GIA LỚP 12 THPT NĂM 2011 Môn: HÓA HỌC Thời gian: 180 phút (không kể thời gian giao đề) Ngày thi thứ hai: 12/01/2011 |
Câu 1. (4,5 điểm)
1. Xitral (CH3)2C=CHCH2CH2C(CH3)=CHCH=O có trong tinh dầu chanh, gồm 2 đồng phân a và b.
a) Cấu tạo phân tử xitral có tuân theo qui tắc isoprenoit hay không? Hai chất a và b thuộc loại đồng phân nào? Hãy viết công thức cấu trúc và gọi tên hệ thống hai đồng phân đó.
b) Để tách riêng hai đồng phân a và b, người ta sử dụng semicacbazit và axit vô cơ. Hãy nêu vắn tắt quá trình thực nghiệm đó.
c) Khử xitral rồi chuyển hoá sản phẩm A theo sơ đồ:

Viết công thức cấu tạo của A, B, C và hoàn thành sơ đồ các phản ứng. Giải thích quá trình chuyển hóa tạo thành C.
2. Cho n-butylmetylete phản ứng với dung dịch HI (đặc), người ta nhận được hai sản phẩm A và B. Khi cho một trong hai sản phẩm đó phản ứng với bazơ mạnh thì thu được C. Thuỷ phân C trong môi trường axit, được D. Oxi hoá C bằng KMnO4, chọn lấy sản phẩm E tạo thành cho phản ứng với D, được F (có 7 cacbon). Mặt khác, chuyển hóa C thành G, sau đó G thành H. Nếu cho H phản ứng với F rồi thủy phân sẽ thu được I (C11H24O). Viết sơ đồ các phản ứng chuyển hóa từ A đến I (dạng công thức cấu tạo) và gọi tên các hợp chất hữu cơ này.
3. Viết các đồng phân lập thể của metylxiclohexanon. Đồng phân nào có tính quang hoạt? Giải thích vì sao dưới tác dụng của bazơ, xeton quang hoạt bị raxemic hoá?
Câu 2. (4,5 điểm)
1. Viết tác nhân, điều kiện phản ứng (nếu có) thay cho dấu chấm hỏi (?) và công thức cấu tạo của các hợp chất hữu cơ A, B, C, D để hoàn thành sơ đồ phản ứng sau:

Hãy so sánh nhiệt độ nóng chảy và so sánh lực axit của các chất A, B, C, D. Giải thích.
2. cis-1-Đecyl-2-(5-metylhexyl)etilenoxit (hay disparlure) là một pheromon của một loài bướm. Hãy:
a) Vẽ công thức các đồng phân lập thể của dispalure.
b) Viết sơ đồ tổng hợp dispalure từ axetilen, các chất vô cơ, hữu cơ (chứa không quá 5 cacbon).
3. Từ quả bồ kết, người ta tách được hợp chất K (C15H18O6). Khi cho K tác dụng với CH3I/Ag2O (dư) rồi thuỷ phân với xúc tác α-glycozidaza thì thu được M (C9H18O5) và N. Hợp chất M thuộc dãy L với cấu hình tuyệt đối của C2 giống C3 nhưng khác C4 và C5. Nếu oxi hoá M bằng axit nitric thì trong hỗn hợp sản phẩm có axit axetic mà không có axit propionic hoặc dẫn xuất của nó. Khi cho N tác dụng với dung dịch KMnO4 thì tạo thành một cặp đồng phân threo có cùng công thức phân tử C9H10O4 đều không làm mất màu nước brom. Hãy xác định công thức lập thể của K, M, N và vẽ cấu dạng bền của K.
Câu 3. (3,5 điểm)
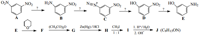
1. Viết các tác nhân, điều kiện phản ứng (nếu có) thay cho dấu chấm hỏi (?) và viết công thức cấu tạo của các hợp chất hữu cơ F, G, H, I, J để hoàn thành sơ đồ chuyển hóa sau:

2. Hãy giải thích cơ chế của các phản ứng sau:

Câu 4. (3,5 điểm)
1. Từ xiclohexen và 4-clorobutan-1-ol hãy tổng hợp 
2. D-Galactopiranozơ được chuyển hoá thành axit ascorbic theo sơ đồ sau:

Viết các tác nhân (a), (b), (c), (f), (g) và công thức lập thể phù hợp với đề bài của các hợp chất hữu cơ D-galactopiranozơ, A, B, F, H. Biết rằng, ở giai đoạn cuối cùng xảy ra sự thủy phân, tautome hóa và lacton hóa.
Câu 5. (4,0 điểm)
Ở 25oC, cho dòng điện một chiều có cường độ 0,5A đi qua bình điện phân chứa 2 điện cực platin nhúng trong 200 mL dung dịch gồm Cu(NO3)2 0,020 M, Co(NO3)2 1,0 M, HNO3 0,010 M.
1. Viết phương trình các nửa phản ứng có thể xảy ra trên catot và anot trong quá trình điện phân.
2. Khi 10% lượng ion kim loại đầu tiên bị điện phân, người ta ngắt mạch điện và nối đoản mạch hai cực của bình điện phân. Hãy cho biết hiện tượng xảy ra và viết phương trình phản ứng minh họa.
3. Xác định khoảng thế của nguồn điện ngoài đặt vào catot để có thể điện phân hoàn toàn ion thứ nhất trên catot (coi quá trình điện phân là hoàn toàn khi nồng độ của ion bị điện phân còn lại trong dung dịch là 0,005% so với nồng độ ban đầu).
4. Tính thể tích khí thoát ra (đktc) trên anot sau khi điện phân được 25 phút. Khi đó, giá trị thế catot là bao nhiêu?
Chấp nhận: Áp suất riêng phần của khí hiđro pH2 = 1 atm; khi tính toán không kể đến quá thế; nhiệt độ dung dịch không thay đổi trong suốt quá trình điện phân.
hằng số Faraday F = 96500 C.mol–1, ở 25 oC: 2,303RT/F=0,0592
Download tài liệu để xem thêm chi tiết
Theo Nghị định 147/2024/ND-CP, bạn cần xác thực tài khoản trước khi sử dụng tính năng này. Chúng tôi sẽ gửi mã xác thực qua SMS hoặc Zalo tới số điện thoại mà bạn nhập dưới đây: