Hỗ trợ tư vấn
Tư vấn - Giải đáp - Hỗ trợ đặt tài liệu
Mua gói Pro để tải file trên Download.vn (không bao gồm tài liệu cao cấp) và trải nghiệm website không quảng cáo
Tìm hiểu thêm »
SỞ GIÁO DỤC VÀ ĐÀO TẠO
|
KỲ THI CHỌN HỌC SINH GIỎI TỈNH LỚP 11 THPT
|
MÔN THI: TOÁN
Thời gian làm bài: 180 phút (không kể thời gian giao đề)
--------------------------------------------------------------------------------
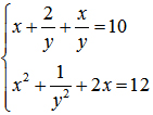
Câu 1: (3.0 điểm)
a) Giải hệ phương trình: 
b) Giải phương trình: (cos2x - cos4x)2 = 6 + 2sin3x
Câu 2: (2.5 điểm)
a) Tính giới hạn dãy số: ![]()
b) Cho dãy số (un) xác định như sau: 
Tìm công thức số hạng tổng quát và giới hạn dãy số (un)?
Câu 3: (2.5 điểm)
Cho hình chóp S.ABCD, có đáy ABCD là hình thang cân (AD / /BC) và BC = 2a, AB = AD = DC = a (a>0). Mặt bên SBC là tam giác đều. Gọi O là giao điểm của AC và BD. Biết SD vuông góc với AC.
a) Tính SD.
b) Mặt phẳng (α) qua điểm M thuộc đoạn OD (M khác O, D) và song song với hai đường thẳng SD và AC. Xác định thiết diện của hình chóp S.ABCD cắt bởi mặt phẳng (α). Biết MD = x. Tìm x để diện tích thiết diện lớn nhất.
Câu 4: (2.0 điểm)
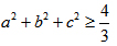
Cho phương trình: x4 + ax3 + bx2 + cx + d = 0
a) Với d = -2013, chứng minh rằng phương trình có ít nhất hai nghiệm phân biệt.
b) Với d = 1, giả sử phương trình có nghiệm, chứng minh ![]()
Download tài liệu để xem thêm chi tiết
Theo Nghị định 147/2024/ND-CP, bạn cần xác thực tài khoản trước khi sử dụng tính năng này. Chúng tôi sẽ gửi mã xác thực qua SMS hoặc Zalo tới số điện thoại mà bạn nhập dưới đây: