Hỗ trợ tư vấn
Tư vấn - Giải đáp - Hỗ trợ đặt tài liệu
Mua gói Pro để tải file trên Download.vn (không bao gồm tài liệu cao cấp) và trải nghiệm website không quảng cáo
Tìm hiểu thêm »
HỘI CÁC TRƯỜNG THPT CHUYÊNĐỀ THI CHÍNH THỨC |
KỲ THI CHỌN HỌC SINH GIỎI
|
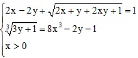
Câu 1 (4 điểm):
Giải hệ phương trình: 
Câu 2 (4 điểm):
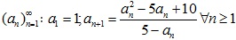
Cho dãy: ![]()
a) Chứng minh dãy (an) hội tụ và tính liman
b) Chứng minh ![]()
Câu 3 (4 điểm):
Gọi AD, BE, CF là ba đường phân giác trong của tam giác ABC vuông ở A. Đoạn thẳng AD cắt EF tại K. Đường thẳng qua K song song với BC cắt AB, AC lần lượt ở M, N. Chứng minh rằng: ![]()
Câu 4 (4 điểm):
Tìm tất cả các hàm số f: R → R thoả mãn: f(x2 + y2) = xf(x) + yf(y), với mọi x, y thuộc R (1)
Câu 5 (4 điểm):
Cho 100 số tự nhiên không lớn hơn 100 có tổng bằng 200. Chứng minh rằng từ các số đó có thể chọn được ít nhất một bộ các số có tổng bằng 100.
Download tài liệu để xem chi tiết.
Theo Nghị định 147/2024/ND-CP, bạn cần xác thực tài khoản trước khi sử dụng tính năng này. Chúng tôi sẽ gửi mã xác thực qua SMS hoặc Zalo tới số điện thoại mà bạn nhập dưới đây: