Hỗ trợ tư vấn
Tư vấn - Giải đáp - Hỗ trợ đặt tài liệu
Mua gói Pro để tải file trên Download.vn (không bao gồm tài liệu cao cấp) và trải nghiệm website không quảng cáo
Tìm hiểu thêm »
HỘI CÁC TRƯỜNG THPT CHUYÊN
|
KÌ THI CHỌN HỌC SINH GIỎI KHU VỰC MỞ RỘNG
|
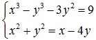
Câu 1 ( 4 điểm):
Giải hệ phương trình sau:

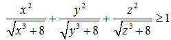
Câu 2 (4 điểm):
Cho là các số thực dương thỏa mãn. Chứng minh bất đẳng thức:

Câu 3 (4 điểm):
Trên các cạnh BC, CA, AB và về phía ngoài tam giác ABC ta dựng các hình vuông BCMN, ACPQ, ABEF. Gọi G là trọng tâm tam giác ABC. Kí hiệu A1 là giao điểm của AG và FQ; B1 là giao điểm của BG và NE; C1 là giao điểm của CG và MP. Ta xác định các điểm A2, B2, C2 sao cho AGC2F, BGA2N, CGB2P là các hình bình hành. Chứng minh rằng các đường thẳng đi qua A2, B2, C2 tương ứng vuông góc với B1C1, C1A1, A1B1 đồng quy.
Câu 4 (4 điểm):
Giả sử m, n là các số tự nhiên thỏa mãn: 4m3 + m = 12n3 + n. Chứng minh rằng m - n là lập phương của một số nguyên.
Câu 5 (4 điểm):
Trên mặt phẳng toạ độ Oxy, xét tập hợp M các điểm có toạ độ (x; y) với x, y thuộc R* và x ≤ 12; y ≤ 12. Mỗi điểm trong M được tô bởi một trong ba màu: màu đỏ, màu trắng hoặc màu xanh. Chứng minh rằng tồn tại một hình chữ nhật có các cạnh song song với các trục toạ độ mà tất cả các đỉnh của nó thuộc M và được tô cùng màu.
Download tài liệu để xem thêm chi tiết
Theo Nghị định 147/2024/ND-CP, bạn cần xác thực tài khoản trước khi sử dụng tính năng này. Chúng tôi sẽ gửi mã xác thực qua SMS hoặc Zalo tới số điện thoại mà bạn nhập dưới đây: