Hỗ trợ tư vấn
Tư vấn - Giải đáp - Hỗ trợ đặt tài liệu
Mua gói Pro để tải file trên Download.vn (không bao gồm tài liệu cao cấp) và trải nghiệm website không quảng cáo
Tìm hiểu thêm »
SỞ GIÁO DỤC VÀ ĐÀO TẠO
|
KỲ THI CHỌN HỌC SINH GIỎI CẤP TỈNH
|
Bài 1. (5 điểm)
Cho hàm số 
1.1 Hãy tính giá trị gần đúng của ![]()
1.2 Hãy tính giá trị gần đúng của P = f'(1) + f'(2) + ... + f'(10) với f'(x) là đạo hàm của hàm số f(x)
Bài 2. (5 điểm)
Tìm nghiệm gần đúng (theo đơn vị độ, phút, giây) của phương trình: cos4x + cos3x + 21cos3x + 34cos2x + 6cosx - 27 = 0
Bài 3. (5 điểm)
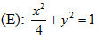
Trong mặt phẳng với hệ trục Oxy cho điểm C(2; 0) và Elip (E):
. Tìm tọa độ các điểm A, B thuộc (E) biết rằng CA=CB và góc ACB = 900
Bài 4. (5 điểm)
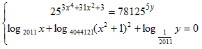
Giải hệ phương trình: 
Bài 5. (5 điểm)
Cho hình vuông ABCD có cạnh a = 3,25. Tính gần đúng diện tích phần chung của 4 hình tròn có tâm lần lượt là các điểm A, B, C, D và có cùng bán kính là a (phần tô trên hình vẽ).

Bài 6. (5 điểm)
Cho hình chóp S.ABCD có đáy ABCD là hình thang vuông tại A và D, mặt bên SAD là tam giác đều và vuông góc với (ABCD). Biết AB = AD = 12,48cm; CD = 6,12cm. Tính khoảng cách từ điểm B đến (SAC).
Bài 7. (5 điểm)
Tìm số dư trong các phép chia sau 1234567890987654321 chia cho 207207
Download tài liệu để xem thêm chi tiết
Theo Nghị định 147/2024/ND-CP, bạn cần xác thực tài khoản trước khi sử dụng tính năng này. Chúng tôi sẽ gửi mã xác thực qua SMS hoặc Zalo tới số điện thoại mà bạn nhập dưới đây: