Hỗ trợ tư vấn
Tư vấn - Giải đáp - Hỗ trợ đặt tài liệu
Mua gói Pro để tải file trên Download.vn và trải nghiệm website không quảng cáo
Tìm hiểu thêm »Mời quý phụ huynh và các em học sinh cùng tham khảo Đề thi học kì 2 môn Toán lớp 5 trường tiểu học Lê Hồng Phong năm học 2015 - 2016. Đề thi có đáp án kèm theo sẽ giúp các em dễ dàng ôn tập và rèn luyện kỹ năng giải đề thi. Sau đây, mời quý phụ huynh và các em cùng tải về đề thi để tham khảo và ôn tập nhằm chuẩn bị tốt nhất cho kỳ thi học kì 2 sắp tới. Chúc các em ôn tập tốt!
Đề thi học kì 2 môn Toán lớp 5 theo Thông tư 22
Đề thi học kì 2 môn Toán lớp 5 trường Tiểu học số 2 Ân Đức, Bình Định
Bộ đề thi học kì 2 lớp 5 năm 2016 - 2017 theo Thông tư 22
BÀI KIỂM TRA CUỐI HỌC KỲ II
Năm học 2015-2016
MÔN: TOÁN – LỚP 5A5
(Thời gian: 40 phút không kể giao đề)
Họ và tên: ....................................... Lớp: ............
Trường: TH Lê Hồng Phong
Bài 1 (2 điểm): Đặt tính và tính
348,97 + 85,64
105,7 - 72,98
2,46 x 1,03
7,546 : 5,5
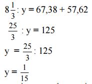
Bài 2 (2 điểm) - Tìm y, biết:

y x 8,15 + 0,85 x y + y = 102
- Viết số thích hợp vào chỗ chấm:
4,4dm3 = ...... cm3 5m3 35dm3=..........m3
230dam2 = .........ha 366789 cm3= ........ .....dm3= ........ .....m3
Bài 3 (2 điểm):
+ Viết công thức tính chu vi hình tròn.
+ Một tấm bìa hình tròn có bán kính 2,5cm thì chu vi tấm bìa đó là bao nhiêu mét?
Bài 4 (2 điểm): Quãng đường AB dài 184km. Hai ô tô xuất phát từ A và B cùng một lúc và đi ngược chiều nhau, sau 1giờ 36 phút chúng gặp nhau. Biết rằng vận tốc của ô tô đi từ A hơn vận tốc của ô tô đi từ B là 15km/giờ, tính vận tốc của ô tô đi từ A?
Bài 5 (2 điểm):
+ Tính bằng cách thuận tiện:
10 giờ - 5 giờ 25 phút - 2 giờ 35 phút
1 giờ 12 phút + 1,2 giờ x 9
+ Nếu hình lập phương A có thể tích gấp 8 lần thể tích hình lập phương B thì tỉ số giữa độ dài cạnh hình lập phương B và độ dài cạnh hình lập phương A là:

Bài 1 (2 điểm):
- Trình bày và tính đúng mỗi phép tính được 0,5 điểm. Nếu HS đặt tính sai - không cho điểm ở phép tính đó.
Bài 2 (2 điểm): - Phần 1 đúng mỗi phần cho 0,5 điểm

b, y x 8,15 + 0,85 x y + y = 102
y x (8,15 + 0,85 + 1) = 102
y x 10 = 102
y = 102 : 10
y = 10,2
- Phần 2 (1 điểm)
Điền đúng mỗi chỗ chấm cho 0,2 điểm
4,4dm3 = 4400 cm3 5m3 35dm3 = 5,035m3
230dam2 = 2,3ha 366789 cm3 = 366,789dm3 = 0,366789m3
Bài 3 (2 điểm):
- Phần 1 (1 điểm): Viết đúng công thức tính chu vi hình tròn như SGK.
- Phần 2 (1 điểm):
Bài giải
Chu vi tấm bìa là:
2,5 x 2 x 3,14= 15,7 (cm) (0,5 điểm)
= 0,157 (m) (0,5 điểm)
Đáp số: 0,157m
Nếu thiếu đáp số trừ 0,25 điểm
Bài 4 (2 điểm)
Bài giải
Đổi 1 giờ 36 phút = 1,6 giờ (0,5 điểm)
Tổng vận tốc của hai ô tô là:
184 : 1,6 = 115 (km/giờ) (0,5 điểm)
Vận tốc của ô tô đi từ A là:
(115 + 15) : 2 = 65 (km/giờ) (0,75 điểm)
Đáp số: 65 (km/giờ) (0,5 điểm)
Chú ý: Câu trả lời của học sinh phải ngắn gọn, đủ ý, có chủ ngữ, vị ngữ GV cho đủ số điểm. HS không ghi đáp số trừ 0,25 điểm.
Bài 5 (2 điểm): - Phần 1 (1 điểm) đúng mỗi phần cho 0,5 điểm
Nếu không tính thuận tiện không cho điểm
a, 10 giờ - 5 giờ 25 phút - 2 giờ 35 phút
= 10 giờ - (5 giờ 25 phút +2 giờ 35 phút)
= 10 giờ - 8 giờ
= 2 giờ
b, 1 giờ 12 phút + 1,2 giờ x 9
= 1,2 giờ + 1,2 giờ x 9
= 1,2 giờ x (1 + 9)
1,2 giờ x 10 = 12 giờ
- Phần 2: chọn đáp án đúng C được 1 điểm
Nếu chọn 2 đáp án không cho điểm, nếu gạch 1 đáp án còn 1 đáp án đúng cho 0,5 điểm.
Theo Nghị định 147/2024/ND-CP, bạn cần xác thực tài khoản trước khi sử dụng tính năng này. Chúng tôi sẽ gửi mã xác thực qua SMS hoặc Zalo tới số điện thoại mà bạn nhập dưới đây: