Hỗ trợ tư vấn
Tư vấn - Giải đáp - Hỗ trợ đặt tài liệu
Mua gói Pro để tải file trên Download.vn (không bao gồm tài liệu cao cấp) và trải nghiệm website không quảng cáo
Tìm hiểu thêm »
SỞ GIÁO DỤC VÀ ĐÀO TẠO
|
ĐỀ THI CHỌN GIÁO VIÊN GIỎI CẤP TỈNH
|
Câu 1 (4 điểm):
a. Phân tích các đa thức sau ra thừa số: x4 + 4 và (x + 2)(x + 3)(x + 4)(x + 5) - 24
b. Giải phương trình: x4 - 30x2 + 31x - 30 = 0
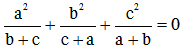
c. Cho
. Chứng minh rằng:![]()
Câu 2. (8 điểm):
a) Rút gọn biểu thức: 
b) Cho hàm số y = ax + 6 (d). Tìm a để (d) cắt hai trục Ox, Oy tại hai điểm A và B sao cho diện tích tam giác OAB bằng 12
c) Giải phương trình: ![]()
d) Cho hai đường tròn bằng nhau (O) và (O’) cắt nhau tại A và B. Vẽ đường thẳng qua A cắt (O’) tại N (A nằm giữa M và N). Hỏi tam giác MBN là tam giác gì? Tại sao?
Câu 3. (4 điểm):
Cho phương trình: x2 - 2(m + 2)x - m = 0 (1)
a) Tìm m để phương trình có 2 nghiệm.
b) Tìm các giá trị nguyên của m để phương trình (1) có hai nghiệm x1, x2 sao cho A = x12 + x22 đạt giá trị nhỏ nhất.
Câu 4. (4 điểm):
Cho đường tròn tâm O đường kính AB, M là một điểm trên đường tròn (M≠A, M≠B), tiếp tuyến với (O) tại A và M cắt nhau tại E. Từ M hạ các đường vuông góc MP, MQ lần lượt xuống AB và AE.
a. Chứng minh rằng: ΔMPB đồng dạng với ΔEMO.
b. Gọi I là giao điểm của PQ và OE. Chứng minh rằng: A, I, M thẳng hàng.
Download tài liệu để xem thêm chi tiết.
Theo Nghị định 147/2024/ND-CP, bạn cần xác thực tài khoản trước khi sử dụng tính năng này. Chúng tôi sẽ gửi mã xác thực qua SMS hoặc Zalo tới số điện thoại mà bạn nhập dưới đây: