Hỗ trợ tư vấn
Tư vấn - Giải đáp - Hỗ trợ đặt tài liệu
Mua gói Pro để tải file trên Download.vn (không bao gồm tài liệu cao cấp) và trải nghiệm website không quảng cáo
Tìm hiểu thêm »Ngay sau khi kết thúc môn thi cuối cùng trong kì thi tuyển sinh Đại học năm 2013. Chúng tôi đã cập nhật kịp thời 3 môn thi khối A1. Mời các em học sinh, quý phụ huynh cùng bạn đọc quan tâm tới kì thi tham khảo 3 môn thi Toán, Lý, Tiếng anh dưới đây:






BỘ GIÁO DỤC VÀ ĐÀO TẠOĐỀ THI CHÍNH THỨC |
KỲ THI TUYỂN SINH ĐẠI HỌC NĂM 2013MÔN THI: VẬT LÍ - KHỐI A và KHỐI A1 |
Cho biết: hằng số Plang h = 6,625.10-34. Js; độ lớn điện tích nguyên tố e = 1,6.10-19 C, tốc độ ánh sáng trong chân không c = 3.108 m/s, gia tốc trọng trường g = 10m/s2.
I. PHẦN CHUNG CHO TẤT CẢ CÁC THÍ SINH (40 câu, từ câu 1 đến câu 40)
Câu 1: Đặt điện áp u = Uocosωt (V) (với Uo và ω không đổi) vào hai đầu đoạn mạch gồm cuộn dây không thuần cảm mắc nối tiếp với tụ điện có điện dung C (thay đổi được). Khi C = Co thì cường độ dòng điện trong mạch sớm pha hơn u là φ = (0 < φ1 < π/2) và điện áp hiêu dụng hai đầu cuộn dây là 45V. Khi C = 3C0 thì cường độ dòng điện trong mạch trễ pha hơn u là φ2 = π/2 - φ1 và điện áp hiệu dụng hai đầu cuộn dây là 135V. Giá trị của U0 gần giá trị nào nhất sau đây?
A. 95V B. 75V C.64V. D. 130V
Câu 2: Trong một thí nghiệm Y-âng về giao thoa ánh sáng, bước sóng ánh sáng đơn sắc là 600m, khoảng cách giữa khe hẹp là 1mm, khoảng cách từ mặt phẳng chứa hai khe đến màn quan sát là 2m. Khoảng vân quan sát được trên màn có giá trị bằng:
A. 1,2mm B. 1,5mm C. 0,9mm D. 0,3mm
Câu 3: Trong thí nghiệm Y –âng về giao thoa ánh sáng, nếu thay ánh sáng đơn sắc màu lam bằng ánh sáng đơn sắc màu vàng và giữ nguyên các điều kiện khác thì trên màn quan sát:
A. Khoảng vân không thay đổi B. khoảng vân tăng lên
C. vị trí vân trung tâm thay đổi D. khoảng vân giảm xuống
Câu 4: Sóng điện từ có tần số 10MHz truyền trong chân không với bước sóng là:
A. 60m B. 6m C. 30m D. 3m
Câu 5: Đặt điện áp u = 120√2cosπft (V) (f thay đổi được) vào hai đầu đoạn mạch mắc nối tiếp gồm cuộn cảm thuần có độ tự cảm L, điện trở R và tụ điện có điện dung C, với CR2 < 2L. Khi f = f1 thì điện áp hiệu dụng giữa hai đầu tụ điện đạt cực đại. Khi f = f2 = f1√2 thì điện áp hiệu dụng giữa hai đầu điện trở đạt cực đại. Khi f = f3 thì điện áp hiệu dụng giữa hai đầu cuộn cảm đạt cực đại ULmax. Giá trị của ULmax gần với giá trị nào nhất sau đây?
A. 137V B. 57V C. 145V D. 85V
Câu 6: Một vật dao động điều hòa dọc theo trục Ox với biên độ 5cm, chu kì 2s. Tại thời điểm t = 0, vật đi qua vị trí cân bằng O theo chiều dương. Phương trình dao động của vật là:
Câu 7: Nối hai cực của một máy phát điện xoay chiều một pha vào hai đầu đoạn mạch A, B mắc nối tiếp gồm điện trở 69,1Ω, cuộn cảm thuần có độ tự cảm L và tụ điện có điện dung 176,8μF. Bỏ qua điện trở thuần của các cuộn dây của máy phát. Biết roto máy phát có hai cặp cực. Khi roto quay đều với tốc độ n1 = 1350 vòng/ phút hoặc n2 = 1800 vòng/ phút thì công suất tiêu thụ của đoạn mạch AB là như nhau. Độ tự cảm L có giá trị gần giá trị nào nhất sau đây?
A. 0,8H B. 0,7H C. 0,6H D. 0,2 H
Câu 8: Một vật nhỏ dao động điều hòa theo một quỹ đạo thẳng dài 12 cm. Dao động này có biên độ là:
A. 3 cm. B. 24 cm. C. 6 cm. D. 12 cm.
Câu 9: Một hạt có khối lượng nghỉ mo. Theo thuyết tương đối, khối lượng động (khối lượng tương đối tính) của hạt này khi chuyển động với tốc độ 0,6c (c là tốc độ ánh sang trong chân không) là
A. 1,25mo. B. 0,36mo. C. 1,75mo. D. 0,25mo.
Câu 10: Một con lắc lò xo gồm vật nhỏ có khối lượng 100 g và lò xo có độ cứng 40N/m được đặt trên mặt phẳng ngang không ma sát. Vật nhỏ đang nằm yên ở vị trí căn bằng, tại t = 0, tác dụng lực F = 2N lên vật nhỏ (hình vẽ) cho con lắc dao động điều hòa đến thời điểm t = π/2 s thì ngừng tác dụng lực F. Dao động điều hòa của con lắc sau khi không còn lực F tác dụng có giá trị biên độ gần giá trị nào nhất sau đây?
![]()
A. 9cm. B. 11 cm. C. 5cm. D. 7cm
Câu 11: Đặt điện áp u = 220√2cos100πt (V) vào hai đầu đoạn mạch mắc nối tiếp gồm điện trở R = 100Ω, tụ điện có C = 10-4/2π (F) và cuộn cảm thuần có L = 1/π (H). Biểu thức cường độ dòng điện trong mạch là:
Câu 12: Giả sử một vệ tinh dùng trong truyền thông đang đứng yên so với mặt đất ở độ cao xác định trong mặt phẳng Xích Đạo Trái Đất; đường thẳng nối vệ tinh với tâm Trái Đất đi qua kinh độ số 0. Coi Trái Đất như một quả cầu, bán kính là 6370 km, khối lượng là 6.1024kg và chu kì quay quanh trục của nó là 24 giờ; hằng số hấp dẫn G = 6,67.10-11 N.m2/kg2. Sóng cực ngắn (f > 30MHz) phát từ vệ tinh truyền thẳng đến các điểm nằm trên Xich Đạo Trái Đất trong khoảng kinh độ nào nêu dưới đây?
A. Từ kinh độ 79o20' Đ đến kinh độ 79o20'T.
B. Từ kinh độ 83o20' T đến kinh độ 83o20'Đ.
C. Từ kinh độ 85o20' Đ đến kinh độ 85o20'T.
D. Từ kinh độ 81o20' Đ đến kinh độ 81o20'T.
Câu 13: Một nguồn phát sóng dao động điều hòa tạo ra sóng tròn đồng tâm O trên mặt nước với bước sóng λ. Hai điểm M và N thuộc mặt nước, nằm trên hai phương truyền sóng mà các phần tử nước đang dao động. Biết OM = 8λ, ON = 12λ và OM vuông góc với ON. Trên đoạn MN, số điểm mà phần tử nước dao động ngược pha với dao động của nguồn O là
A. 5. B. 4. C. 6. D. 7.
Câu 14: Gọi M, N, I là các điểm trên một lò xo nhẹ, được treo thẳng đứng ở điểm O cố định. Khi là xo có chiều dài tự nhiên thì OM = MN = NI = 10cm. Gắn vật nhỏ vào đầu dưới I của lò xo và kích thích để vật dao động điều hòa theo phương thẳng đứng. Trong quá trình dao động, tỉ số độ lớn lực kéo lớn nhất và độ lớn lực kéo nhỏ nhất tác dụng lên O bằng 3; lò xo giãn đều; khoảng cách lớn nhất giữa hai điểm M và N là 12 cm. Lấy π2 = 10. Vật dao động với tần số là
A. 2,9 Hz. B. 3,5Hz. C. 1,7 Hz. D. 2,5 Hz.
Câu 15: Hạt nhân có độ hụt khối càng lớn thì có
A. năng lượng liên kết càng nhỏ. B. năng lượng liên kết càng lớn.
C. năng lượng liên kết riêng càng lớn. D. năng lượng liên kết riêng càng nhỏ.
Câu 16: Khi nói về phôtôn, phát biểu nào dưới đây đúng?
A. Năng lượng của phôtôn càng lớn khi bước sóng ánh sang ứng với phôtôn đó càng lớn.
B. Phôtôn có thể tồn tại trong trạng thái đứng yên.
C. Với mỗi ánh sáng đơn sắc có tần số f xác định, các phôtôn đều mang năng lượng như nhau.
D. Năng lượng của phôtôn ánh sáng tím nhỏ hơn năng lượng của phôtôn ánh sáng đỏ.
Câu 17: Trên một sợi dây đàn hồi dài 1m, hai đầu cố định; dang có sóng dừng với 5 nút sóng (kể cả hai đầu dây). Bước sóng của sóng truyền trên dây là
A. 1 m. B. 1,5 m. C. 0,5 m. D. 2 m.
Câu 18. Đặt điện áp u = 220√2cos100πt (V) vào hai đầu đoạn mạch mắc nối tiếp gồm điện trở 20Ω, cuộn cảm thuần có độ tự cảm 0,8/π (F). Khi điện áp tức thời giữa hai đầu điện trở bằng 110√3 (V) thì điện áp tức thời giữa hai đầu cuộn cảm có độ lớn là
A. 330 V. B. 440 V. C. 440√3(V). D. 330√3(V)
Câu 19. Hai mạch dao động điện từ lí tưởng đang có dao động điện từ tự do. Điện tích của tụ điện trong mạch dao động thứ nhất và thứ hai lần lượt là q1 và q2 có: 4q12 + 4q22 = 1,3.10-17, q tính bằng C. Ở thời điểm t, điện tích của tụ điện và cường độ dòng điện trong mạch dao động thứ nhất lần lượt là 10-9C và 6mA, cường độ dòng điện trong mạch dao động thứ hai có độ lớn bằng
A. 4 mA. B. 10 mA. C. 8 mA. D. 6 mA.
Câu 20. Một lò phản ứng phân hạch có công suất 200MW. Cho rằng toàn bộ năng lượng mà lò phản ứng này sinh ra đều do sự phân hạch của 235U và đồng vị này chỉ bị tiêu hao bởi quá trình phân hạch. Coi mỗi năm có 365 ngày, mỗi phân hạch đều sinh ra 200 MeV, số A-vô-ga-dro Na = 6,02.1023 mol-1. Khối lượng 235U mà lò phản ứng tiêu thụ trong 3 năm là
A. 461,6 kg. B. 461,6 g. C. 230,8 kg. D. 230,8 g.
Câu 21. Trong một thí nghiệm về giao thoa sóng nước, hai nguồn sóng kết hợp O1 và O2 dao động cùng pha, cùng biên độ. Chọn hệ tọa độ vuông góc xOy (thuộc mặt nước) với gốc tọa độ là vị trí đặt nguồn O1 còn nguồn O2 nằm trên trục Oy. Hai điểm P và Q nằm trên Ox có OP = 4,5 cm và OQ = 8 cm. Dịch chuyển nguồn O2 trên trục Oy đến vị trí sao cho <PO2Q có giá trị lớn nhất thì phần tử nước tại P không dao động còn phần tử nước tại Q dao động với biên độ cực đại. Biết giữa P và Q không còn cực đại nào khác. Trên đoạn OP, điểm gần P nhất mà các phần tử nước dao động với biên độ cực đại cách P một đoạn là
A. 1,1 cm. B. 3,4 cm. C. 2,5 cm. D. 2,0 cm.
Câu 22. Dùng một hạt α có động năng 7,7 MeV bắn vào một hạt nhân 147N đang đứng yên gây ra phản ứng:
. Hạt proton bay ra theo phương vuông góc với phương bay tới của hạt α. Cho khối lượng hạt nhân: mα = 4,0015u, mp = 1,0073u; mN14 = 13,9992u; mO17 = 16,9947u. Biết 1u = 931,5 MeV/c2. Động năng của hạt nhân 178O là:
A. 2,075 MeV. B. 2,214 MeV. C. 6,145 MeV. D. 1,345 MeV.
Câu 23. Giới hạn quang điện của 1 kim loại là 0,75 μm. Công thoát electron ra khỏi kim loại này bằng:
A. 2,65.10-19J. B. 26,5.10-19J. C. 2,65.10-32J. D. 26,5.10-32J.
Câu 24. Đặt điện áp u = Uocosωt (Uo và ω không đổi) vào hai đầu đoạn mạch mắc nối tiếp gồm điện trở R, tụ điện có điện dung C, cuộn cảm thuần có độ tự cảm L thay đổi được. Khi L = L1 và L = L2, điện áp hiệu dụng ở hai đầu cuộn cảm có cùng giá trị; độ lệch pha của điện áp ở hai đầu đoạn mạch so với cường độ dòng điện lần lượt là 0,52 rad và 1,05 rad. Khi L = L0: điện áp hiệu dụng giữa hai đầu cuộn cảm đạt cực đại; độ lệch pha của điện áp ở hai đầu đoạn mạch so với cường độ dòng điện là φ. Giá trị của φ gần giá trị nào nhất sau đây?
A. 1,57 rad. B. 0,83 rad. C. 0,26 rad. D. 0,41 rad.
Câu 25. Tia nào sau đây không phải là tia phóng xạ?
A. Tia γ. B. Tiaβ+ C. Tia α. D. Tia X.
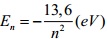
Câu 26. Các mức năng lượng củ các trạng thái dừng của nguyên tử hidro được xác định bằng biểu thức
(n = 1, 2, 3,...). Nếu nguyên tử hidro được xác định bằng biểu thức sóng nhỏ nhất của bức xạ mà nguyên tử hidro đó có thể hấp thụ là:
A. 1,46.10-8m. B. 1,22.10-8m. C. 4,87.10-8m. D. 9,74.10-8m.
Câu 27. Một sóng hình sin đang truyền trên một sợi dây theo chiều dương của trục Ox. Hình vẽ mô tả hình dạng của sợi dây tại thời điểm t1 (đường nét đứt) và t2 = t1 + 0,3 (s) (đường nét liền). Tại thời điểm t2, vận tốc của điểm N trên dây là:
A. 65,4 cm/s. B. -65,4 cm/s. C. -39,3 cm/s. D. 39,3 cm/s

Câu 28: Đặt vào hai đầu cuộn sơ cấp của máy biến áp M1 một điện áp xoay chiều có giá trị hiệu dụng 200V. Khi nối hai đầu cuộn sơ cấp của máy biến áp M2 vào hai đầu cuộn thứu cấp của M1 thì điện áp hiệu dụng ở hai đầu cuộn thứ cấp của M2 để hở bằng 12,5V. Khi nối hai đầu cuộn thứ cấp của M2 với hai đầu cuộn thứ cấp của M1 thì điện áp hiệu dụng ở hai đầu cuộn sơ cấp của M2 để hở bằng 50V. Bỏ qua mọi hao phí M1 có tỉ số giữa vòng dây cuộn sơ cấp và số vòng dây cuộn thứ cấp bằng
A. 6 B. 15. C. 8 D. 4
Câu 29: Một khung dây dẫn phẳng, dẹt hình chữ nhật có diện tích 60cm2, quay đều quanh một trục đối xứng thuộc mặt phẳng của khung trong từ trường đều có vécto cảm ứng từ vuông góc với trục quay và có độ lớn 0,4T. Từ thông cực đại qua khung dây là:
A. 2,4.10-3 Wb B. 1,2.10-3 Wb C. 4,8.10-3Wb D. 0,6.10-3Wb
Câu 30: Điện năng được truyền từ nơi phát đến môt khu dân cư bằng đường dây một pha với hiệu suất truyền tải là 90%. Coi hao phí điện năng chỉ do tỏa nhiệt trên đường dây và không vượt quá 20%. Nếu công suất sử dụng điện của khu dân cư này tăng 20% và giữu nguyên điện áp ở nơi phát thì hiệu suất truyền tải điện năng trên chính đường dây đó là
A. 85,8% B. 87,7% C. 89,2% D. 92,8%
Câu 31: Biết bán kính Bo là r0 = 5,3.10-11m. Bán kính quỹ đạo dừng M trong nguyên tử Hidro bằng:
A. 84,8.10-11m B. 21,2.10-11m C. 132,5.10-11m D. 47,7.10-11m
Câu 32: Hai con lắc đơn có chiều dài lần lượt là 81cm và 64cm được treo ở trần một văn phòng. Khi các vật nhỏ của hai con lắc đang ở vị trí cân bằng, đồng thời truyền cho chúng các vận tốc cùng hướng sao cho hai con lắc dao động điều hòa cùng biến độ góc, trong hai mặt phẳng song song với nhau. Gọi Δt là khoảng thời gian ngắn nhất kể từ lúc truyền vận tốc đến lúc hai dây treo song song nhau. Giá trị Δt gần giá trị nào nhất sau đây?
A. 8,12s B. 2,36 s C. 7,20s D. 0,45s
Câu 33: Một vật nhỏ dao động điều hòa theo phương trình x = Acos4πt (t tính bằng s). Tính từ t = 0, khoảng thời gian ngắn nhất để gia tốc của vật đó có độ lớn bằng một nửa độ lớn gia tốc cực đại là
A. 0,083s B. 0,125s C.0,104s D. 0,167s
Câu 34: Hai dao động điều hòa cùng phương, cùng tần số có biên độ lần lượt là A1 = 8cm; A2 = 15cm và lệch pha nhau π/2. Dao động tổng hợp của hai dao động này có biên độ bằng
A. 7cm B. 11cm C. 17cm D. 23cm
Câu 35: Gọi εD là năng lượng của phôtn ánh sáng đỏ, εL là năng lượng của photon ánh sáng lục, εV là năng lượng của photon ánh sáng vàng. Sắp xếp nào sau đây đúng?
A. εD > εV > εL B. εL > εD > εV C. εV > εL > εD D. εL > εV > εD
Câu 36: Hiện nay urani tự nhiên chứa hai đồng vị phóng xạ 235U và 238U, với tỷ lệ số hạt 235U và số hạt 238U là 7/1000. Biết chu kỳ bán rã của 235U và 238U lần lượt là 7,00.108 năm và 4,50.109 năm. Cách đây bao nhiêu năm, uảni tự nhiên có tỷ lệ số hạt 235U và 238U là 3/100?
A. 2,74 tỉ năm. B. 2,22 tỉ năm. C. 1,74 tỉ năm. D. 3,15 tỉ năm.
Câu 37: Trên một đường thẳng cố định trong môi trường đẳng hướng, không hấp thụ và phản xạ âm, một máy thu ở cách nguồn âm một khoảng d thu được âm có mức cường độ âm là L; khi dịch chuyển máy thu ra xa nguồn âm thêm 9 m thì mức cường độ âm thu được là L – 20 (dB). Khoảng cách d là
A. 8 m. B. 1 m. C. 9 m. D. 10 m.
Câu 38: Trong chân không, ánh sáng có bước sóng lớn nhất trong số các ánh sáng đơn sắc: đỏ, vàng, lam, tím là
A. ánh sáng tím. B. ánh sáng đỏ. C. ánh sáng vàng. D. ánh sáng lam.
Câu 39: Đoạn mạch nối tiếp gồm cuộn cảm thuần, đoạn mạch X và tụ điện (hình vẽ). Khi đặt vào hai đầu A, B điện áp uAB = Uocos(ωt + φ) (V) (Uo, ω và φ không đổi) thì: LCω2 = 1; UAN = 25√2 và UMB = 50√2V, đồng thời uAN sớm pha π/3 so với uMB. Giá trị của Uo là:
A. 25√14V B. 25√7V C.12,5√14V D. 15√7V
![]()
Câu 40: Một vật nhỏ khối lượng 100 g dao động điều hòa với chu kì 0,2 s và cơ năng là 0,18 J (mốc thế năng tại vị trí cân bằng); lấy π2 = 10. Tại li độ 3√2 cm, tỉ số động năng và thế năng là
A. 3. B. 4. C. 2. D. 1.
II. PHẦN RIÊNG
Thí sinh chỉ được làm một trong hai phần (Phần A hoặc Phần B)
A. Theo chương trình Chuẩn (10 câu, từ câu 41 đến câu 50)
Câu 41: Khi nói về phổ quang phát xạ, phát biểu nào sau đây sai?
A. Quang phổ vạch phát xạ của một nguyên tố là một hệ thống những vạch phát sáng riêng lẻ, ngăn cách nhau bởi những khoảng tối.
B. Quang phổ vạch phát xạ do chất rắn hoặc chất lỏng phát ra khi bị nung nóng.
C. Trong quang phổ vạch phát xạ của nguyên tử hiđro, ở vùng ánh sáng nhìn thấy có bốn vạch đặc trưng là vạch đỏ, vạch lam, vạch chàm và vạch tím.
D. Quang phổ vạch phát xạ của nguyên tố hóa học khác nhau thì khác nhau.
Câu 42: Một mạch LC lí tưởng đang thực hiện dao động điện từ tự do. Biết điện tích cực đại của tụ điện là q0 và cường độ dòng điện cực đại trong mạch là I0. Tại thời điểm cường độ dòng điện trong mạch bằng 0,5I0 thì điện tích của tụ điện có độ lớn là:![]()
Câu 43: Cho khối lượng của hạt proton, notron và hạt nhân doteri 21D lần lượt là 1,0073u; 1,0087u và 2,0136u. Biết 1u=931,5 MeV/c2. Năng lượng liên kết của hạt nhân 21D là
A. 2,24 MeV. B. 4,48 MeV.
C. 1,12 MeV. D. 3,06 MeV.
Câu 44: Một vật nhỏ dao động điều hòa với biên độ 4 cm và chu kì 2s. Quãng đường vật đi được trong 4s là
A. 8 cm. B. 16 cm.
C. 64 cm. D. 32 cm.
Câu 45: Một con lắc đơn có chiều dài 121 cm, dao động điều hòa tại nơi có gia tốc trọng trường g. Lấy π2 = 10. Chu kì dao động của con lắc là
A. 1s. B. 0,5 s. C. 2,2 s. D. 2s.
Câu 46: Giả sử một nguồn sáng chỉ phát ra ánh sáng đơn sắc có tần số 7,5.104Hz. Công suất phát xạ của nguồn là 10W. Số photon mà nguồn sáng phát ra trong một giây xấp xỉ bằng
A. 0,33.1020. B. 2,01.1019. C. 0,33.1019. D. 2,01.1020
Câu 47. Đặt điện áp u = U0cos(100πt - π/12) (V) vào hai đầu đoạn mạch mắc nối tiếp gồm điện trở, cuộn cảm và tụ điện thì cường độ dòng điện qua mạch là i = I0cos(100πt - π/12) (A). Hệ số công suất của đoạn mạch bằng
A. 1,00. B. 0,87. C. 0,71. D. 0,50.
Câu 48: Thực hiện thí nghiệm Y-âng về giao thoa với ánh sáng đơn sắc có bước sóng λ. Khoảng cách giữa hai khe hẹp là 1 mm. Trên màn quan sát, tại điểm M, cách vân trung tâm 4,2 mm có vân sáng bậc 5. Giữ cố định các điều kiện khác, di chuyển dần màn quan sát dọc theo đường thẳng vuông góc với mặt phẳng chứa hai khe ra xa cho đến khi vân giao thoa tại M chuyển thành vân tối lần thứ hai thì khoảng dịch màn là 0,6m. Bước sóng λ bằng
A. 0,6 μm. B. 0,5 μm. C. 0,4 μm. D. 0,7 μm.
Câu 49. Trong một thí nghiệm về giao thoa sóng nước, hai nguồn sóng kết hợp dao động cùng pha đặt tại hai điểm A và B cách nhau 16 cm. Sóng truyền trên mặt nước với bước sóng 3 cm. Trên đoạn AB, số điểm mà tại đó phần tử nước dao động với biên độ cực đại là
A. 10. B. 11. C. 12. D. 9.
Câu 50. Đặt điện áp xoay chiều u = U√2cosωt (V) vào hai đầu một điện trở thuần R = 110Ω thì cường độ dòng điện qua điện trở có giá trị hiệu dụng bằng 2 A. Giá trị U bằng.
A. 220V. B. 220√2V. C. 110V. D. 110√2V
B. Theo chương trình Nâng cao (10 câu, từ câu 51 đến câu 60)
Câu 51: Một vật rắn quay quanh một trục ∆ cố định với tốc độ góc 30 rad/s. Momen quán tính của vật rắn của vật rắn đối với trục ∆ là 6kg.m2. Momen động lượng của vật rắn đối với trục ∆ là:
A. 20 kg.m2/s. B. 180 kg.m2/s. C. 500 kg.m2/s. D. 27000 kg.m2/s.
Câu 52: Electron là hạt sơ cấp thuộc loại
A. mêzôn. B. leptôn. C. nuclôn. D. hipêron.
Câu 53: Trên một đường ray thẳng có một nguồn âm S đứng yên phát ra âm với tần số f và một máy thu M chuyển động ra xa S so với tốc độ u. Biết tốc độ truyền tâm là v (v > u). Tần số của âm mà máy thu nhận được là:![]()
Câu 54: Một con lắc lò xo có khối lượng vật nhỏ là m1 = 300g dao động điều hòa với chu kì 1s. Nếu thay vật nhỏ có khối lượng m1 bằng vật nhỏ có khối lượng m2 thì con lắc dao động với chu kì 0,5s. Giá trị m2 bằng
A. 100g. B. 150g. C. 25g. D. 75g.
Câu 55: Đặt một điện áp xoay chiều có giá trị hiệu dụng không đổi và tần số f thay đổi được vào hai đầu một cuộn cảm thuần, Khi f = 50Hz thì cường độ dòng điện qua cuộn cảm có giá trị hiệu dụng bằng 3A. Khi f = 60Hz thì cường độ dòng điện qua cuộn cảm có giá trị hiệu dụng bằng
A. 3,6 A. B. 2,5 A. C. 4,5 A. D. 2,0 A.
Câu 56: Mạch dao động LC lí tưởng đang hoạt động, điện tích cực đại của tụ điện là qo = 10-6C và cường độ dòng điện cực đại trong đoạn mạch là Io = 3π mA. Tính từ thời điểm điện tích trên tụ là qo, khoảng thời gian ngắn nhất để cường độ dòng điện trong mạch có độ lớn bằng Io là:![]()
Câu 57: Ban đầu một mẫu chất phóng xạ nguyên chất có No hạt nhân. Biết chu kỳ bán rã của chất phóng xạ này là T. Sau thời gian 4T, kể từ thời điểm ban đầu, số hạt nhân chưa phân rã của mẫu chất phóng xạ này là:![]()
Câu 58: Hai quả cầu nhỏ khối lượng lần lượt là 2,4 kg và 0,6 kg gắn ở hai đầu một thanh cứng và nhẹ. Momen quán tính của hệ đối với trục quay đi qua trung điểm của thanh và vuông góc với thanh là 0,12kg.m2. Chiều dài của thanh là
A. 0,4 m. B. 0,6 m. C. 0,8 m. D. 0,3 m.
Câu 59: Một bánh xe đang quay đều quanh trục ∆ cố định với động năng là 225 J. Biết momen quán tính của bánh xe đối với trục ∆ là 2 kg.m2. Tốc độ góc của bánh xe là
A. 56,5 rad/s. B. 30 rad/s. C. 15 rad/s. D. 112,5 rad/s.
Câu 60: Một đĩa tròn, phẳng, đồng chất có momen quán tính 8 kg.m2 đối với trục ∆ cố định đi qua tâm đĩa và vuông góc với bề mặt đĩa. Đĩa quay quanh ∆ với gia tốc góc bằng 3 rad/s2. Momen lực tác dụng lên đĩa đối với trục ∆ có độ lớn là
A. 24 N.m. B. 8/3N.m. C. 12 N.m. D.3/8N.
BỘ GIÁO DỤC VÀ ĐÀO TẠOĐỀ THI CHÍNH THỨC |
KỲ THI TUYỂN SINH ĐẠI HỌC NĂM 2013MÔN THI: TOÁN - KHỐI A1 |
I. PHẦN CHUNG CHO TẤT CẢ THÍ SINH (7,0 điểm)
Câu 1: (2,0 điểm)
Cho hàm số y = -x3 + 3x2 + 3mx - 1 (1), với m là tham số thực.
a. Khảo sát sự biến thiên và vẽ đồ thị của hàm số (1) khi m = 0
b. Tìm m để hàm số (1) nghịch biến trên khoảng (0; +∞)
Câu 2: (1,0 điểm)
Giải phương trình: ![]()
Câu 3: (1,0 điểm)
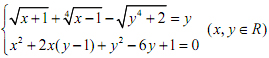
Giải hệ phương trình: 
Câu 4: (1,0 điểm)
Tính tích phân: ![]()
Câu 5: (1,0 điểm).
Cho hình chóp S.ABC có đáy là tam giác vuông tại A, góc ABC = 30o, SBC là tam giác đều cạnh a và mặt bên SBC vuông góc với đáy. Tính theo a thể tích của khối chóp S.ABC và khoảng cách từ điểm C đến mặt phẳng (SAB)
Câu 6: (1,0 điểm)
Cho các số thực dương a, b, c thỏa mãn điều kiện (a + c)(b + c) = 4c2. Tìm giá trị nhỏ nhất của biểu thức:
II. PHẦN RIÊNG (3,0 điểm): Thí sinh chỉ được làm một trong hai phần (Phần A hoặc phần B)
A. Theo chương trình Chuẩn
Câu 7.a (1,0 điểm)
Trong mặt phẳng với hệ tọa độ Oxy, cho hình chữ nhật ABCD có điểm C thuộc đường thẳng d: 2x + y + 5 = 0 và A(-4; 8). Gọi M là điểm đối xứng của B qua C. N là hình chiếu vuông góc của B trên đường thẳng MD. Tìm tọa độ các điểm B và C, biết rằng N(5; -4)
Câu 8.a (1,0 điểm)
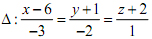
Trong không gian với hệ tọa độ Oxyz, cho đường thẳng
và điểm A(1; 7; 3). Viết phương trình mặt phẳng (P) đi qua A và vuông góc với Δ. Tìm tọa độ điểm M thuộc Δ sao cho AM = 2√30.
Câu 9.a (1,0 điểm)
Gọi S là tập hợp tất cả các số tự nhiên gồm ba chữ số phân biệt được chọn từ các chữ số 1; 2; 3; 4; 5; 6; 7. Xác định số phân tử của S. Chọn ngẫu nhiên một số từ S, tính xác suất để số được chọn là số chẵn.
B. Theo chương trình Nâng cao
Câu 7.b (1,0 điểm)
Trong mặt phẳng với hệ tọa độ Oxy, cho đường thẳng Δ: x - y = 0. Đường tròn (C) có bán kính R = √10 cắt tại hai điểm A và B sao cho AB = 4√2. Tiếp tuyến của (C) tại A và B cắt nhau tại một điểm thuộc tia Oy. Viết phương trình đường tròn (C).
Câu 8.b (1,0 điểm)
Trong không gian với hệ tọa độ Oxyz, cho mặt phẳng (P): 2x + 3y + z - 11 = 0 và mặt cầu (S): x2 + y2 + z2 - 2x + 4y - 2z - 8 = 0. Chứng minh (P) tiếp xúc với (S). Tìm tọa độ tiếp điểm của (P) và (S).
Câu 9.b (1,0 điểm)
Cho số phức z = 1 + √3i. Viết dạng lượng giác của z. Tìm phần thực và phần ảo của số phức ω = (1 + i)z5
Download tài liệu để xem chi tiết.
Theo Nghị định 147/2024/ND-CP, bạn cần xác thực tài khoản trước khi sử dụng tính năng này. Chúng tôi sẽ gửi mã xác thực qua SMS hoặc Zalo tới số điện thoại mà bạn nhập dưới đây: