Hỗ trợ tư vấn
Tư vấn - Giải đáp - Hỗ trợ đặt tài liệu
Mua gói Pro để tải file trên Download.vn (không bao gồm tài liệu cao cấp) và trải nghiệm website không quảng cáo
Tìm hiểu thêm »Ngay sau khi kết thúc môn thi cuối cùng của kỳ thi Cao đẳng năm 2013. Chúng tôi đã cập nhật đề thi và đáp án các môn khối B. Mời các bạn theo dõi đề thi và đáp án dưới đây:
BỘ GIÁO DỤC VÀ ĐÀO TẠOĐỀ CHÍNH THỨC |
ĐỀ THI TUYỂN SINH CAO ĐẲNG NĂM 2013MÔN THI: TOÁN; Khối A, Khối A1, Khối B và Khối D |
I. PHẦN CHUNG CHO TÂT CẢ THÍ SINH (7,0 điểm)
Câu 1: (2,0 điểm).
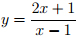
Cho hàm số: ![]()
a. Khảo sát sự biến thiên và vẽ đồ thị (C) của hàm số đã cho.
b. Gọi M là điểm thuộc (C) có tung độ bằng 5. Tiếp tuyến của (C) tại M cắt các trục tọa độ Ox và Oy lần lượt tại A và B. Tính diện tích tam giác OAB.
Câu 2: (1,0 điểm).
Giải phương trình: ![]()
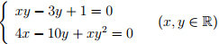
Câu 3: (1,0 điểm).
Giải hệ phương trình: ![]()
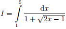
Câu 4: (1,0 điểm)
Tính tích phân: 
Câu 5: (1,0 điểm).
Cho lăng trụ đều ABC.A'B'C' có Ab = a và đường thẳng A'B' tạo với đáy một góc bằng 60o. Gọi M và N lần lượt là trung điểm của các cạnh AC và B'B'. Tính theo a thể tích của khối lăng trụ ABC.A'B'C' và độ dài đoạn thẳng MN.
Câu 6: (1,0 điểm)
Tìm m để bất phương trình
có nghiệm
II. PHẦN RIÊNG (3,0 điểm): Thí sinh chỉ được làm một trong hai phần (phần A hoặc phần B)
A. Theo chương trình chuẩn
Câu 7.a (1,0 điểm).
Trong mặt phẳng với hệ tọa độ Oxy, cho các đường thẳng d: x + y - 3 = 0, Δ: x - y + 2 = 0 và điểm M(-1; 3). Viết phương trình đường tròn đi qua M, có tâm thuộc d, cắt Δ tại hai điểm A và B sao cho AB = 3√2
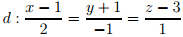
Câu 8.a (1,0 điểm)
Trong không gian với hệ tọa độ Oxyz, cho điểm A(4; -1; 3) và đường thẳng
. Tìm tọa độ điểm đối xứng của A qua d.
Câu 9.a (1,0 điểm)
cho số phức z thỏa mãn điều kiện (3 + 2i)z + (2 - i)2 = 4 + i. Tìm phần thực và phần ảo của số phức ![]()
B. Theo chương trình Nâng cao
Câu 7.b (1,0 điểm).
Trong mặt phẳng với hệ tọa độ Oxy, cho tam giác ABC vuông tại A(-3; 2) và có trọng tâm là G(1/3; 1/3). Đường cao kẻ từ đỉnh A của tam giác ABC đi qua điểm P(-2; 0). Tìm tọa độ các điểm B và C.
Câu 8.b (1,0 điểm).
Trong không gian với hệ tọa độ Oxyz, cho điểm A(-1; 3; 2) và mặt phẳng (P): 2x - 5y + 4z - 36 = 0. Gọi I là hình chiếu vuông góc của A trên mặt phẳng (P). Viết phương trình mặt cầu tâm I và đi qua điểm A.
Câu 9.b (1,0 điểm).
Giải phương trình: z2 + (2 - 3i)z - 1 - 3i = 0 trên tập hợp ¢ các số phức.
BỘ GIÁO DỤC VÀ ĐÀO TẠOĐỀ CHÍNH THỨC |
ĐỀ THI TUYỂN SINH CAO ĐẲNG NĂM 2013MÔN THI: HÓA HỌC: Khối A, Khối B Mã đề thi: 279 |
Cho biết nguyên tử khối của các nguyên tố: H = 1; C = 12; N = 14; O = 16; Na = 23; Mg = 24; Al = 27; S = 32; Cl = 35,5; K = 39; Ca = 40; Cr = 52; Fe = 56; Cu = 64; Br = 80; Ag = 108; Ba = 137.
I. PHẦN CHUNG CHO TẤT CẢ THÍ SINH (40 câu, từ câu 1 đến câu 40)
Câu 1: Hòa tan hoàn toàn 20,6 gam hỗn hợp gồm Na2CO3 và CaCO3 bằng dung dịch HCl dư, thu được V lít khí CO2 (đktc) và dung dịch chứa 22,8 gam hỗn hợp muối. Giá trị của V là
A. 4,48. B. 1,79. C. 5,60. D. 2,24.
Câu 2: Hỗn hợp X gồm hai ancol đơn chức, đồng đẳng kế tiếp. Đun nóng 16,6 gam X với H2SO4 đặc ở 140ºC, thu được 13,9 gam hỗn hợp ete (không có sản phẩm hữu cơ nào khác). Biết các phản ứng xảy ra hoàn toàn. Công thức của hai ancol trong X là
A. C3H5OH và C4H7OH. B. CH3OH và C2H5OH.
C. C3H7OH và C4H9OH. D. C2H5OH và C3H7OH.
Câu 3: Cho 7,84 lít hỗn hợp khí X (đktc) gồm Cl2 và O2 phản ứng vừa đủ với 11,1 gam hỗn hợp Y gồm Mg và Al, thu được 30,1 gam hỗn hợp Z. Phần trăm khối lượng của Al trong Y là
A. 75,68%. B. 24,32%. C. 51,35%. D. 48,65%.
Câu 4: Dãy gồm các ion cùng tồn tại trong một dung dịch là:
A. K+; Ba2+; Cl- và NO3-. B. Cl-; Na+; NO3- và Ag+
C. K+; Mg2+; OH- và NO3-. D. Cu2+; Mg2+; H+ và OH-.
Câu 5: Cho hỗn hợp gồm 0,05 mol HCHO và 0,02 mol HCOOH vào lượng dư dung dịch AgNO3 trong NH3, đun nóng. Sau khi các phản ứng xảy ra hoàn toàn, thu được m gam Ag. Giá trị của m là
A. 15,12. B. 21,60. C. 25,92. D. 30,24.
Câu 6: Dung dịch phenol (C6H5OH) không phản ứng được với chất nào sau đây?
A. NaOH. B. NaCl. C. Br2. D. Na.
Câu 7: Oxi hóa m gam ancol đơn chức X, thu được hỗn hợp Y gồm axit cacboxylic, nước và ancol dư. Chia Y làm hai phần bằng nhau. Phần một phản ứng hoàn toàn với dung dịch KHCO3 dư, thu được 2,24 lít khí CO2 (đktc). Phần hai phản ứng với Na vừa đủ, thu được 3,36 lít khí H2 (đktc) và 19 gam chất rắn khan. Tên của X là
A. metanol. B. etanol. C. propan-2-ol. D. propan-1-ol.
Câu 8: Cho m gam Al phản ứng hoàn toàn với dung dịch HNO3 loãng (dư), thu được 4,48 lít khí NO (đktc, sản phẩm khử duy nhất). Giá trịcủa m là
A. 4,05. B. 2,70. C. 8,10. D. 5,40.
Câu 9: Trong bình kín có hệ cân bằng hóa học sau:
![]()
Xét các tác động sau đến hệ cân bằng:
(a) tăng nhiệt độ; (b) thêm một lượng hơi nước;
(c) giảm áp suất chung của hệ; (d) dùng chất xúc tác;
(e) thêm một lượng CO2.
Trong những tác động trên, các tác động làm cân bằng chuyển dịch theo chiều thuận là:
A. (a) và (e). B. (b), (c) và (d). C. (d) và (e). D. (a), (c) và (e).
Câu 10: Hỗn hợp khí X gồm C2H6, C3H6 và C4H6. Tỉ khối của X so với H2 bằng 24. Đốt cháy hoàn toàn 0,96 gam X trong oxi dưrồi cho toàn bộ sản phẩm cháy vào 1 lít dung dịch Ba(OH)2 0,05M. Sau khi các phản ứng xảy ra hoàn toàn, thu được m gam kết tủa. Giá trị của m là
A. 9,85. B. 5,91. C. 13,79. D. 7,88.
Câu 11: Dung dịch nào dưới đây khi phản ứng hoàn toàn với dung dịch NaOH dư, thu được kết tủa trắng?
A. Ca(HCO3)2. B. FeCl3. C. AlCl3. D. H2SO4.
Câu 12: Hỗn hợp X gồm Ba, Na và Al, trong đó số mol của Al bằng 6 lần số mol của Ba. Cho m gam X vào nước dư đến phản ứng hoàn toàn, thu được 1,792 lít khí H2 (đktc) và 0,54 gam chất rắn. Giá trị của m là
A. 3,90. B. 5,27. C. 3,45. D. 3,81.
Câu 13: Dãy các chất nào dưới đây đều phản ứng được với Cu(OH)2 ở điều kiện thường?
A. Etylen glicol, glixerol và ancol etylic. B. Glucozơ, glixerol và saccarozơ.
C. Glucozơ, glixerol và metyl axetat. D. Glixerol, glucozơvà etyl axetat.
Câu 14: Phát biểu nào sau đây không đúng?
A. Trong công nghiệp, kim loại Al được điều chếbằng phương pháp điện phân Al2O3 nóng chảy.
B. Al(OH)3 phản ứng được với dung dịch HCl và dung dịch KOH.
C. Kim loại Al tan được trong dung dịch HNO3 đặc, nguội.
D. Trong các phản ứng hóa học, kim loại Al chỉ đóng vai trò chất khử.
Câu 15: Hòa tan hết 0,2 mol FeO bằng dung dịch H2SO4 đặc, nóng (dư), thu được khí SO2 (sản phẩm khử duy nhất). Hấp thụ hoàn toàn khí SO2 sinh ra ởtrên vào dung dịch chứa 0,07 mol KOH và 0,06 mol NaOH, thu được dung dịch chứa m gam muối. Giá trị của m là
A. 15,32. B. 12,18. C. 19,71. D. 22,34.
Câu 16: Dung dịch H2SO4 loãng phản ứng được với tất cảcác chất trong dãy nào sau đây?
A. Al2O3, Ba(OH)2, Ag. B. CuO, NaCl, CuS.
C. FeCl3, MgO, Cu. D. BaCl2, Na2CO3, FeS.
Câu 17: Este X có công thức phân tử C4H8O2. Cho 2,2 gam X vào 20 gam dung dịch NaOH 8%, đun nóng, sau khi phản ứng xảy ra hoàn toàn, thu được dung dịch Y. Cô cạn Y thu được 3 gam chất rắn khan. Công thức cấu tạo của X là
A. CH3COOCH2CH3. B. HCOOCH(CH3)2.
C. HCOOCH2CH2CH3. D. CH3CH2COOCH3.
Câu 18: Đốt cháy hoàn toàn một amin đơn chức X trong khí oxi dư, thu được khí N2; 13,44 lít khí CO2 (đktc) và 18,9 gam H2O. Số công thức cấu tạo của X là
A. 4. B. 3. C. 2. D. 1.
Câu 19: Phần trăm khối lượng của nguyên tố nitơ trong alanin là
A. 15,73%. B. 18,67%. C. 15,05%. D. 17,98%.
Câu 20: Hấp thụ hoàn toàn 2,24 lít khí CO2 (đktc) vào dung dịch Ca(OH)2 dư, thu được m gam kết tủa. Giá trị của m là
A. 19,70. B. 10,00. C. 1,97. D. 5,00.
Câu 21: Liên kết hóa học trong phân tử Br2 thuộc loại liên kết
A. ion. B. hiđro.
C. cộng hóa trịkhông cực. D. cộng hóa trịcó cực.
Câu 22: Đốt cháy hoàn toàn một lượng ancol X cần vừa đủ 8,96 lít khí O2 (đktc), thu được 6,72 lít khí CO2 (đktc) và 7,2 gam H2O. Biết X có khả năng phản ứng với Cu(OH)2. Tên của X là
A. propan-1,3-điol. B. propan-1,2-điol. C. glixerol. D. etylen glicol.
Câu 23: Phát biểu nào sau đây không đúng?
A. Kim loại Fe phản ứng với dung dịch HCl tạo ra muối sắt(II).
B. Dung dịch FeCl3 phản ứng được với kim loại Fe.
C. Kim loại Fe không tan trong dung dịch H2SO4 đặc, nguội.
D. Trong các phản ứng hóa học, ion Fe2+ chỉ thể hiện tính khử.
Download tài liệu để xem thêm chi tiết.
Theo Nghị định 147/2024/ND-CP, bạn cần xác thực tài khoản trước khi sử dụng tính năng này. Chúng tôi sẽ gửi mã xác thực qua SMS hoặc Zalo tới số điện thoại mà bạn nhập dưới đây: