Hỗ trợ tư vấn
Tư vấn - Giải đáp - Hỗ trợ đặt tài liệu
Mua gói Pro để tải file trên Download.vn (không bao gồm tài liệu cao cấp) và trải nghiệm website không quảng cáo
Tìm hiểu thêm »| BỘ GIÁO DỤC VÀ ĐÀO TẠO ĐỀ THI CHÍNH THỨC |
KỲ THI CHỌN HỌC SINH GIỎI QUỐC GIA THPT NĂM 2013 MÔN: TOÁN Thời gian: 180 phút (không kể thời gian giao đề) Ngày thi thứ nhất: 12/01/2013 |
Bài 5 (7,0 điểm): Tìm tât cả các hàm sô f : R->R thỏa mãn: f (0)= 0 , f (1)= 2013 và

đúng với mọi x,y thuộc R, trong đó f2(x) = (f(x))2
Bài 6 (7,0 điểm): Cho tam giác nhọn ABC nội tiếp đường tròn (O) và điểm D thuộc cung BC không chứa điểm A. Đường thẳng d thay đổi đi qua trực tâm H của tam giác ABC cắt các đường tròn ngoại tiếp tam giác ABH và tam giác ACH lân lượt tại M và N (M # H, N # H) .
a) Xác định vị trí của đường thẳng d để diện tích tam giác AMN lớn nhất
b) Ký hiệu d1 là đường thẳng đi qua M và vuông góc với DB, d2 là đường thẳng đi qua N và vuông góc với DC. Chứng minh rằng giao điểm P củaa d1 và d2 luôn thuộc một đường tròn cố định.
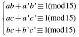
Bài 7 (6,0 điểm). Tìm số các bộ sắp thứ tự (a, b, c, a', b', c') thỏa mãn:

Với a,b,c, a ',b ',c ' thuộc {0,1,...,14}.
Download tài liệu để xem thêm chi tiết
Theo Nghị định 147/2024/ND-CP, bạn cần xác thực tài khoản trước khi sử dụng tính năng này. Chúng tôi sẽ gửi mã xác thực qua SMS hoặc Zalo tới số điện thoại mà bạn nhập dưới đây: