Hỗ trợ tư vấn
Tư vấn - Giải đáp - Hỗ trợ đặt tài liệu
Mua gói Pro để tải file trên Download.vn (không bao gồm tài liệu cao cấp) và trải nghiệm website không quảng cáo
Tìm hiểu thêm »| SỞ GIÁO DỤC VÀ ĐÀO TẠO THÀNH PHỐ HỒ CHÍ MINH |
KỲ THI CHỌN ĐỘI TUYỂN HỌC SINH GIỎI |
ĐỀ CHÍNH THỨC
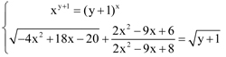
Bài 1: (4 điểm)
Giải hệ phương trình sau:

Bài 2: (4 điểm)
Cho hai đường tròn và cắt nhau tại A và B. Trên tia đối của tia AB lấy điểm M. Cát tuyến qua B cắt (O1) và (O2) lần lượt tại C và D (B nằm giữa C và D). Đường thẳng MC cắt (O1) tại P khác C. Đường thẳng MD cắt (O2) tại Q khác D. Gọi O là tâm đường tròn ngoại tiếp tam giác ACD, E là giao điểm của PB và AC, F là giao điểm của QB và AD. Chứng minh rằng MO vuông góc với EF .
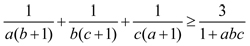
Bài 3: (4 điểm)
Cho a, b, c là các số thực dương, chứng minh rằng:

Bài 4: (4 điểm)
Cho đa thức P(x) = x2012 - mx2010 + m (m#0). Giả sử P(x) có đủ 2012 nghiệm thực. Chứng minh rằng trong các nghiệm của P(x) có ít nhất một nghiệm x0 thoả mãn |x0| < căn bậc 2 của 2
Bài 5: (4 điểm)
Cho các số nguyên x, y. Biết rằng: x2 – 2xy + y2 – 5x + 7y và x2 – 3xy + 2y2 + x – y đều chia hết cho 17.
Chứng minh rằng: xy – 12x + 15y chia hết cho 17.
Download tài liệu để xem thêm chi tiết
Theo Nghị định 147/2024/ND-CP, bạn cần xác thực tài khoản trước khi sử dụng tính năng này. Chúng tôi sẽ gửi mã xác thực qua SMS hoặc Zalo tới số điện thoại mà bạn nhập dưới đây: