Hỗ trợ tư vấn
Tư vấn - Giải đáp - Hỗ trợ đặt tài liệu
Mua gói Pro để tải file trên Download.vn (không bao gồm tài liệu cao cấp) và trải nghiệm website không quảng cáo
Tìm hiểu thêm »
TRƯỜNG THPT NGUYỄN GIA THIỀUĐỀ CHÍNH THỨC |
ĐỀ KIỂM TRA CHẤT LƯỢNG ĐẦU NĂM HỌC: 2013 - 2014
|
Phần chung cho tất cả học sinh (7,0 điểm)
Câu 1: (1,0 điểm)
Giải phương trình: ![]()
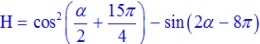
Câu 2: (3,0 điểm)
Cho: ![]()
a. Tính các giá trị lượng giác còn lại của cung α
b. Tính giá trị biểu thức ![]()
Câu 3: (2,0 điểm)
1. Cho tam giác ABC có AB = 2, AC = 3 và góc A = 120o. Tính độ dài đường trung tuyến hạ từ đỉnh A của tam giác ABC.
2. Trong mặt phẳng Oxy cho các điểm M(-6; -1), N(3;; -2), P(-1; 3). Viết phương trình đường tròn có tâm M và tiếp xúc với đường thẳng PN.
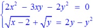
Câu 4: (1,0 điểm)
Giải hệ phương trình: 
Phần riêng (3,0 điểm) Học sinh chỉ được làm một trong hai phần A hoặc B
A. Theo chương trình chuẩn
Câu 5a (1,0 điểm)
Trong mặt phẳng Oxy cho elip (E) đi qua điểm M(-2; √3) và có độ dài trục lớn bàng 8. Viết phương trình chính tắc của elip (E)
Câu 6a (2,0 điểm)
Tìm các giá trị nguyên của m để bất phương trình sau nghiệm đúng với mọi x: 16x2 + 8(2m - 1)x - 8m + 9 ≥ 0
B. Theo chương trình nâng cao
Câu 5b (1,0 điểm)
Trong mặt phảng Oxy cho elip (E) đi qua điểm
và có một tiêu điểm là F(-√2; 0). Viết phương trình chính tắc của elip (E).
Câu 6b (2,0 điểm)
Tìm các giá trị nguyên của m để bất phương trình sau vô nghiệm 16x2 + 8(2m - 1)x - 8m + 9 ≤ 0
Download tài liệu để xem thêm chi tiết.
Theo Nghị định 147/2024/ND-CP, bạn cần xác thực tài khoản trước khi sử dụng tính năng này. Chúng tôi sẽ gửi mã xác thực qua SMS hoặc Zalo tới số điện thoại mà bạn nhập dưới đây: