Hỗ trợ tư vấn
Tư vấn - Giải đáp - Hỗ trợ đặt tài liệu
Mua gói Pro để tải file trên Download.vn (không bao gồm tài liệu cao cấp) và trải nghiệm website không quảng cáo
Tìm hiểu thêm »CHỦ ĐỀ 1: ĐẠI CƯƠNG VỀ DAO ĐỘNG ĐIỀU HÒA
A. TÓM TẮT KIẾN THỨC CƠ BẢN
I. DAO ĐỘNG TUẦN HOÀN
1. Định nghĩa: là dao động mà trạng thái chuyển động của vật được lặp lại như cũ sau những khoảng thời gian bằng nhau xác định.
2. Dao động tự do (dao động riêng)
+ Là dao động của hệ xảy ra dưới tác dụng chỉ của nội lực.
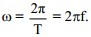
+ Là dao động có tần số (tần số góc, chu kỳ) chỉ phụ thuộc các đặc tính của hệ không phụ thuộc các yếu tố bên ngoài. Khi đó: ω gọi là tần số góc riêng; f gọi là tần số riêng; T gọi là chu kỳ riêng.
3. Chu kì, tần số của dao động:
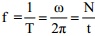
+ Chu kì T của dao động điều hòa là khoảng thời gian để thực hiện một dao động toàn phần; đơn vị giây (s).
![]()
Với N là số dao động toàn phần vật thực hiện được trong thời gian t.
+ Tần số f của dao động điều hòa là số dao động toàn phần thực hiện được trong một giây; đơn vị héc (Hz).
![]()
II. DAO ĐỘNG ĐIỀU HÒA
1. Định nghĩa: là dao động mà trạng thái dao động được mô tả bởi định luật dạng cosin (hay sin) đối với thời gian.
2. Phương trình dao động: x = Acos(ωt + φ).

Các đại lượng đặc trưng của dao động điều hòa:
+ Li độ x: là độ lệch của vật khỏi vị trí cân bằng.
+ Biên độ A: là giá trị cực đại của li độ, luôn dương.
+ Pha ban đầu φ: xác định li độ x tại thời điểm ban đầu t = 0.
+ Pha của dao động (ωt + φ): xác định li độ x của dao động tại thời điểm t.
+ Tần số góc ω: là tốc độ biến đổi góc pha.
Đơn vị: rad/s.
+ Biên độ và pha ban đầu có những giá trị khác nhau, tùy thuộc vào cách kích thích dao động.
+ Tần số góc có giá trị xác định (không đổi) đối với hệ vật đã cho.
3. Phương trình vận tốc: ![]()
+ Véctơ v luôn cùng chiều với chiều chuyển động (vật chuyển động theo chiều dương thì v > 0, theo chiều âm thì v < 0).
+ Vận tốc của vật dao động điều hòa biến thiên điều hòa cùng tần số nhưng sớm pha hơn π/2 so với với li độ.
+ Vị trí biên (x = ± A), v = 0. Vị trí cân bằng (x = 0), |v| = vmax = ωA.
4. Phương trình gia tốc: a = - ω2Acos(ωt + φ) = ω2Acos(ωt + φ + π) = - ω2x.
+ Véctơ a luôn hướng về vị trí cân bằng.
+ Gia tốc của vật dao động điều hòa biến thiên điều hòa cùng tần số nhưng ngược pha với li độ (sớm pha π/2 so với vận tốc).
+ Véctơ gia tốc của vật dao động điều hòa luôn hướng về vị trí cân bằng, có độ lớn tỉ lệ với độ lớn của li độ.
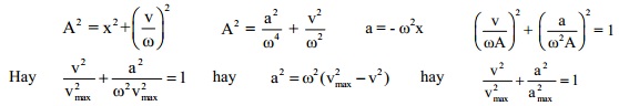
5. Hệ thức độc lập:

Download tài liệu để xem chi tiết.
Theo Nghị định 147/2024/ND-CP, bạn cần xác thực tài khoản trước khi sử dụng tính năng này. Chúng tôi sẽ gửi mã xác thực qua SMS hoặc Zalo tới số điện thoại mà bạn nhập dưới đây: