Hỗ trợ tư vấn
Tư vấn - Giải đáp - Hỗ trợ đặt tài liệu
Mua gói Pro để tải file trên Download.vn (không bao gồm tài liệu cao cấp) và trải nghiệm website không quảng cáo
Tìm hiểu thêm »Sau 12 năm học tập, giờ đây chỉ còn một kì thi duy nhất đang chờ đợi các em đó là kì thi đại học. Đây sẽ là kì thi khó khăn nhất trong suốt 12 năm các em ngồi trên ghế nhà trường. Kì thi đại học chính là một bước ngoặt lớn trong cuộc đời của mỗi học sinh vì thế mỗi học sinh cần phải chuẩn bị kiến thức thật toàn diện vì nội dung của đề thi mang tính liên tục. Có lẽ trong các
môn, môn toán vẫn luôn chiếm vị trí quan trọng và là vật cản lớn nhất trên bước đường tiến tới giảng đường đại học. Vì thế tôi xin mạo muội góp chút kiến thức đã thu lượm được trong quá trình học tập để viết lên quyển sách này. Hy vọng đây sẽ là tài liệu bổ ích cho các em học tập.
Tài liệu được chia thành sáu đơn vị bài học và hai phụ lục. Mỗi bài đều là những phần quan trọng, xuất hiện thường xuyên trong đề thi đạihọc. Ở mỗi bài đều có những đặc điểm sau:
• Phần tóm tắt kiến thức đã học được trình bày ngắn gọn và tổng quát nhằm khơi lại phần kiến thức đã quên của các em.
• Hệ thống các bài làm được chọn lọc kĩ lưỡng, có tính điển hình và khai thác tối đa các góc cạnh của vấn đề nêu ra, đồng thời phương pháp giải ngắn gọn, trực quan cùng nhiều kinh nghệm giải đề giúp các em có thể hiểu được nội dung bài giải và cách áp dụng cho các dạng đề thi sẽ gặp sau này. Đồng thời, các ví dụ đều được trình bày từ cơ bản đến nâng cao.
Đây là những đề bài trích ra từ đề thi dự trữ của các năm trước và tham khảo từ những tài liệu của các thầy cô có nhiều năm kinh nghiệm trongquá trình luyện thi nên đảm bảo về mức độ và giới hạn kiến thức. Lời giải trong các ví dụ chỉ là tượng trưng nhằm mục đích nêu lên phương pháp giải, các em và các thầy cô khi tham khảo cuốn tại liệu này có thể tìm ra và trình bày cách giải và cách trình bày hợp lí hơn. Các em nên tập giải các dạng bài trên một cách thuần thục và độc lập. sau khi giải xong mời xem phần lời giải. Đó là điều mà tác giả kì vọng nhiều nhất.
• Lí giải các phương pháp, đưa ra thuật toán giải chung, đưa ra bản chất lời giải, đó là phần lời bình, lưu ý ở cuối mỗi bài tập.
Phần phụ lục là 12 đề thi tiêu biểu theo cấu trúc đề thi mới nhất do Bộ GD&ĐT công bố. Các đề thi có mức độ khó rất cao, đòi hỏi người làm phải tư duy rất nhiều. Phụ lục 2 là một số mẹo để dùng máy tính đoán nghiệm cố định, phục vụ cho quá trình giải các bài tập về phương trình tích như lượng giác, hệ phương trình, phương trình, cách giải nhanh bài toán hình học bằng máy tính… Đồng thời giới thiệu thêm phương pháp chia Horner để giúp các em làm nhanh bài toán có chia đa thức, phân tích thành tích…
1) Phương trình tổng quát:
Đường thẳng đi qua M(x0; y0) và có vetơ pháp tuyến n(A;B) thì đường thẳng đó có phương trình:
(d): A(x-x0) + B(y-y0) = 0
↔ (d): Ax + By + C=0
VD1. Đường thẳng qua M(1;2) nhận n(2;1) làm vectơ pháp tuyến.
(d): 2(x-1) + 1(y-2) = 0
↔ (d): 2x + y - 4 = 0
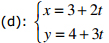
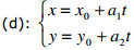
2) Phương trình tham số:
Đường thẳng đi qua M(x0; y0) và có vectơ chỉ phương a(a1; a2)![]()
VD2. Đường thẳng qua M(3;4) nhận a(2;3) làm vecto chỉ phương có phương trình:![]()
VD3. Cho (d): x+y=4. Viết phương trình tham số của (d).
Giải:
Vectơ pháp tuyến: n(1,1); Vectơ chỉ phương: a(1,-1); Điểm đi qua M(2;2)
![]()
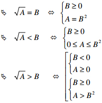
1) Lũy Thừa
Phương pháp lũy thừa là phương pháp tổng quát nhất để giải phương trình có căn. Khi gặp các phương trình có dạng căn phức tạp nhưng khi chúng ta biết “mẹo lũy thừa” thì có thể giải bài toán một cách dễ dàng. Đây là một phương pháp cơ bản, các bạn phải thực tập nhuần nhuyễn vì phương trình trong đề thi đại học có lúc rất dễ nhưng ta lại không để ý. các bạn hãy theo dõi các ví dụ sau. Nhưng trước hết hãy lưu ý vấn đề sau:
• Đặt điều kiện
• Lũy thừa chẵn thì hai vế không âm
• Các dạng cơ bản:

Download tài liệu để xem chi tiết.
Theo Nghị định 147/2024/ND-CP, bạn cần xác thực tài khoản trước khi sử dụng tính năng này. Chúng tôi sẽ gửi mã xác thực qua SMS hoặc Zalo tới số điện thoại mà bạn nhập dưới đây: