Hỗ trợ tư vấn
Tư vấn - Giải đáp - Hỗ trợ đặt tài liệu
Mua gói Pro để tải file trên Download.vn (không bao gồm tài liệu cao cấp) và trải nghiệm website không quảng cáo
Tìm hiểu thêm »1. Công thức tính số đồng phân ancol đơn chức no, mạch hở : Cn H2n+2O2
Số đồng phân Cn H2n+2O2 = 2n-2 (1 < n < 6)
2. Công thức tính số đồng phân anđehit đơn chức no, mạch hở : Cn H2nO
Số đồng phân Cn H2nO = 2n-3 (2 < n < 7)
3. Công thức tính số đồng phân axit cacboxylic đơn chức no, mạch hở : Cn H2nO2
Số đồng phân Cn H2nO2 = 2n-3 (2 < n < 7)
4. Công thức tính số đồng phân este đơn chức no, mạch hở : Cn H2nO2
Số đồng phân Cn H2nO2 = 2n- 2 (1 < n < 5)
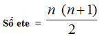
5. Công thức tính số đồng phân ete đơn chức no, mạch hở : Cn H2n+2O
6. Công thức tính số đồng phân xeton đơn chức no, mạch hở : Cn H2nO
![]()
7. Công thức tính số đồng phân amin đơn chức no, mạch hở : Cn H2n+3N
Số đồng phân Cn H2n+3N = 2n-1 (n < 5)
8. Công thức tính số trieste ( triglixerit ) tạo bởi glixerol và hỗn hợp n axít béo :
![]()
9. Công thức tính số đồng phân ete tạo bởi hỗn hợp n ancol đơn chức :

10. Công thức tính số C của ancol no, ete no hoặc của ankan dựa vào phản ứng cháy :

Download file tài liệu để xem thêm chi tiết
Theo Nghị định 147/2024/ND-CP, bạn cần xác thực tài khoản trước khi sử dụng tính năng này. Chúng tôi sẽ gửi mã xác thực qua SMS hoặc Zalo tới số điện thoại mà bạn nhập dưới đây: