Hỗ trợ tư vấn
Tư vấn - Giải đáp - Hỗ trợ đặt tài liệu
Mua gói Pro để tải file trên Download.vn và trải nghiệm website không quảng cáo
Tìm hiểu thêm »Kỳ thi tuyển sinh vào lớp 10 đang đến gần. Download.vn xin giới thiệu đến các bạn học sinh Đề thi thử vào lớp 10 môn Toán Phòng GD&ĐT Hà Trung, Thanh Hóa năm học 2016 - 2017 (Lần 2). Đề thi có đáp án đi kèm sẽ giúp các bạn dễ dàng ôn luyện và kiểm tra kiến thức môn Toán của mình. Chúc các bạn ôn tập tốt và đạt điểm số cao trong kỳ thi vào lớp 10 sắp tới.
Đề thi thử vào lớp 10 môn Toán Phòng GD&ĐT Hà Đông 2017
Đề thi thử vào lớp 10 môn Toán trường Amsterdam năm 2017 (Đợt cuối)
| PHÒNG GD&ĐT HÀ TRUNG |
ĐỀ THI THỬ VÀO LỚP 10 THPT (LẦN 2) Năm học: 2016-2017 Môn thi: Toán (Thời gian là bài 120 phút không kể thời gian giao đề) |
Câu 1: (2.0 điểm)
1. Giải các phương trình sau:
a. 5y + 11 = 0
b. x2 - 3x - 18 =0
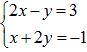
2. Giải hệ phương trình sau: 
Câu 2: (2.0 điểm)
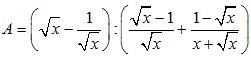
a. Rút gọn biểu thức: 
b. Một đoàn xe chở 480 tấn hàng. Khi sắp khởi hành có thêm 3 xe nữa nên mỗi xe chở ít hơn 8 tấn. Hỏi lúc đầu đoàn xe có bao nhiêu chiếc?
Câu 3: (2.0 điểm) Cho phương trình: x2 - 4x + m + 1 = 0 (1)
a. Giải phương trình (1) khi m = 2.
b. Tìm giá trị của m để phương trình (1) có 2 nghiệm x1, x2 thỏa mãn đẳng thức x12 + x22 = 5 (x1 + x2)
Câu 4: (3.0 điểm) Cho tam giác ABC nội tiếp đường tròn (O). Phân giác trong của góc BAC cắt BC tại D và cắt đường tròn tại M. Phân giác ngoài của góc BAC cắt đường thẳng BC tại E và cắt đường tròn tại N. Gọi K là trung điểm của DE. Chứng minh:
a. MN vuông góc với BC tại trung điểm của BC
b. Góc ABN = góc EAK
c. AK tiếp xúc với đường tròn (O)
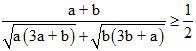
Câu 5: (1.0 điểm) Với a, b là các số dương.
Chứng minh rằng: 



Theo Nghị định 147/2024/ND-CP, bạn cần xác thực tài khoản trước khi sử dụng tính năng này. Chúng tôi sẽ gửi mã xác thực qua SMS hoặc Zalo tới số điện thoại mà bạn nhập dưới đây: