Hỗ trợ tư vấn
Tư vấn - Giải đáp - Hỗ trợ đặt tài liệu
Mua gói Pro để tải file trên Download.vn (không bao gồm tài liệu cao cấp) và trải nghiệm website không quảng cáo
Tìm hiểu thêm »Kỳ thi THPT quốc gia 2017 đang đến gần, Download.vn xin gửi đến các bạn Đề thi thử THPT Quốc gia năm 2017 môn Toán trường THPT Nam Yên Thành, Nghệ An (Lần 1). Đề thi có đáp án đi kèm và có cấu trúc đề thi trắc nghiệm môn Toán bám sát cấu trúc đề thi THPT quốc gia 2017 của Bộ GD & ĐT. Sau đây, mời các bạn cùng thử sức với đề thi nhé!
Đề thi thử THPT Quốc gia năm 2017 môn Toán Sở GD&ĐT Yên Bái CÓ ĐÁP ÁN
Đề thi thử THPT Quốc gia năm 2017 môn Toán Sở GD&ĐT Đồng Tháp (Có đáp án)
Đề thi thử THPT Quốc gia năm 2017 môn Toán Sở GD&ĐT TP HCM CÓ ĐÁP ÁN






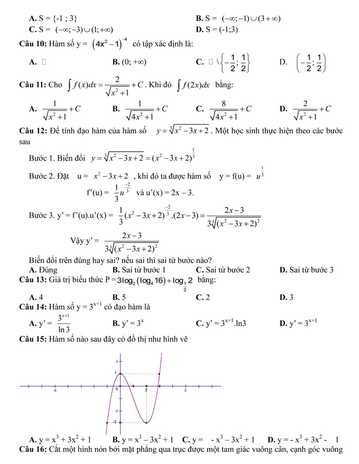
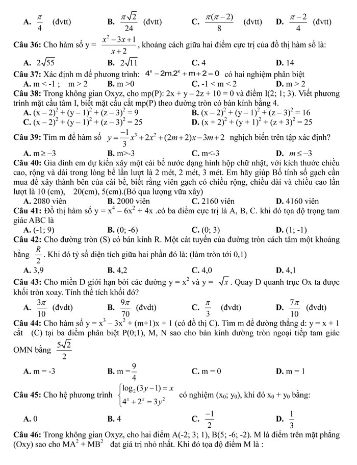
|
1. D 2. B 3. D 4. D 5. B 6. C 7. B 8. D 9. D 10. C |
11. B 12. B 13. C 14. C 15. B 16. D 17. D 18. C 19. C 20. A |
21. C 22. D 23. A 24. A 25. B 26. B 27. D 28. A 29. B 30. A |
21. C 22. D 23. A 24. A 25. B 26. B 27. D 28. A 29. B 30. A |
41. B 42. D 43. A 44. A 45. C 46. C 47. A 48. A 49. C 50. D |
Theo Nghị định 147/2024/ND-CP, bạn cần xác thực tài khoản trước khi sử dụng tính năng này. Chúng tôi sẽ gửi mã xác thực qua SMS hoặc Zalo tới số điện thoại mà bạn nhập dưới đây: