Hỗ trợ tư vấn
Tư vấn - Giải đáp - Hỗ trợ đặt tài liệu
Mua gói Pro để tải file trên Download.vn (không bao gồm tài liệu cao cấp) và trải nghiệm website không quảng cáo
Tìm hiểu thêm »| SỞ GIÁO DỤC VÀ ĐÀO TẠO HÀ TĨNH (Đề thi chính thức) |
KỲ THI CHỌN HỌC SINH GIỎI CẤP TỈNH NĂM HỌC 2010 – 2011 Môn thi: TOÁN - Lớp: 9 Thời gian làm bài: 150 phút Ngày thi: 17/03/2011 |
Bài 1. Cho phương trình:

a) Giải phương trình khi m = 2.
b) Tìm m để phương trình có đúng hai nghiệm dương phân biệt.
Bài 2
a) Cho a, b, c là những số nguyên thỏa mãn điều kiện:

Chứng minh rằng a3 + b3 + c3 chia hết cho 3.
b) Giải phương trình: x3 + ax2 + bx + 1 =0, biết rằng a, b là các số hữu tỉ và
là một nghiệm của phương trình.
Bài 3. Cho x, y là các số nguyên dương, thỏa mãn: x + y = 2011
Tìm giá trị lớn nhất và nhỏ nhất của biểu thức: P = x(x2 + y) + y(y2 + x)
Bài 4. Cho nửa đường tròn tâm O, đường kính AB = 2R, một dây cung MN = R di chuyển trên nửa đường tròn. Qua M kẻ đường thẳng song song với ON cắt đường thẳng AB tai E. Qua N kẻ đường thẳng song song với OM cắt đường thẵng AB tại F.
a) Chứng minh tam giác MNE và tam giác NFM đồng dạng .
b) Gọi K là giao điểm của EN và FM. Hãy xác định vị trí của dây MN để tam giác MKN có chu vi lớn nhất.
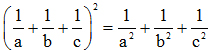
Bài 5. Cho a, b, c là những số dương thỏa mãn: abc = 1
Chứng minh: 
Download tài liệu để xem thêm chi tiết
Theo Nghị định 147/2024/ND-CP, bạn cần xác thực tài khoản trước khi sử dụng tính năng này. Chúng tôi sẽ gửi mã xác thực qua SMS hoặc Zalo tới số điện thoại mà bạn nhập dưới đây: