Hỗ trợ tư vấn
Tư vấn - Giải đáp - Hỗ trợ đặt tài liệu
Mua gói Pro để tải file trên Download.vn (không bao gồm tài liệu cao cấp) và trải nghiệm website không quảng cáo
Tìm hiểu thêm »Đề thi thử vào lớp 10 môn Toán năm học 2018 – 2019 trường THCS Mạc Đĩnh Chi, Hà Nội được Download.vn sưu tầm và cập nhật nhằm gửi đến các bạn học sinh đang ôn thi vào lớp 10. Tài liệu này sẽ giúp các bạn ôn tập và làm quen với các dạng câu hỏi của môn Toán nhằm chuẩn bị tốt nhất cho kỳ thi xét tuyển vào lớp 10 năm học 2018 - 2019 sắp tới. Sau đây, mời các bạn cùng thử sức với đề thi nhé!
Đề thi minh họa vào lớp 10 môn Toán TP. HCM năm học 2018 - 2019 (Có đáp án)
Đề thi thử vào lớp 10 môn Tiếng Anh - Sở GD&ĐT Thanh Hóa 2018 lần 1
Đề thi thử vào lớp 10 môn Toán thành phố Phú Thọ năm 2018 (Có đáp án)


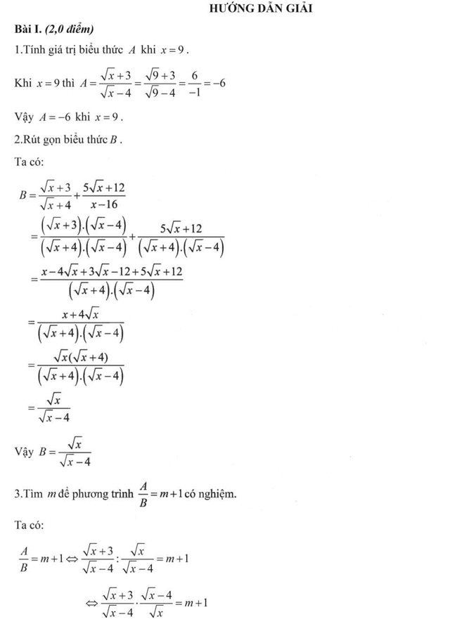
....
Tài liệu vẫn còn, mời các bạn tải file tài liệu để xem thêm nội dung chi tiết.
Theo Nghị định 147/2024/ND-CP, bạn cần xác thực tài khoản trước khi sử dụng tính năng này. Chúng tôi sẽ gửi mã xác thực qua SMS hoặc Zalo tới số điện thoại mà bạn nhập dưới đây: